М
Молодежь
К
Компьютеры-и-электроника
Д
Дом-и-сад
С
Стиль-и-уход-за-собой
П
Праздники-и-традиции
Т
Транспорт
П
Путешествия
С
Семейная-жизнь
Ф
Философия-и-религия
Б
Без категории
М
Мир-работы
Х
Хобби-и-рукоделие
И
Искусство-и-развлечения
В
Взаимоотношения
З
Здоровье
К
Кулинария-и-гостеприимство
Ф
Финансы-и-бизнес
П
Питомцы-и-животные
О
Образование
О
Образование-и-коммуникации
Motya232
Motya232
30.11.2022 06:43 •  Математика

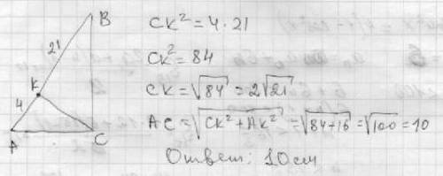
Проекція катетів прямокутного трикутника на гіпотенузу дорівнюють 4 см і 21 см. знайти у сантиметрах менший катет.

👇
Ответ:
Lososepotam
Lososepotam
30.11.2022
ответ и решение смотри во вложении

Проекція катетів прямокутного трикутника на гіпотенузу дорівнюють 4 см і 21 см. знайти у сантиметрах
4,5(8 оценок)
Открыть все ответы
Ответ:
sv5080
sv5080
30.11.2022
Давайте занумеруем дни начиная с нуля -- пусть понедельник, в который ребята встретились, будет 0-м днём.
Все дни, в которые ходит Петя, делятся на 3, Вася - на 4, Коля - на 5. Нам нужно число, которое делится и на три, и на четыре, и на пять. Или, проще говоря, их наибольший общее кратное.
Так как 3, 4 и 5 попарно взаимно просты, то их НОК равен произведению. таким образом, ребята будут встречаться раз в 3 \times 4 \times 5 = 60 дней. Нам нужен день недели, то есть остаток от деления этого числа на 7, он равен 4. Поскольку нулевой день есть понедельник, то четвёртый -- пятница.
Сложно эту задачку объяснять. Если чего, милости в комменты.

ответ: пятница
4,7(46 оценок)
Ответ:
sapphire11
sapphire11
30.11.2022
Петя.

3 дня - 1 раз

Вася.

4 дня - 1 раз

Коля.

5 дней - 1 раз

Вместе.

дней = ?

Решение :

Для решения мы должны знать как находить Наименьшее Общее Кратное.

В этом случае нам даны три числа 3, 4 ,5 .

Кратное это число на которое делится наше число без остатка.

В этом случае, что бы найти кратное придется умножать.

Число 3.
3 × 1 = 3
3× 2 =6
3 × 3 =9
3× 4 = 12
3 × 5 = 15
(Мне долго это печатать я просто допишу цифры )
18, 21,24, 27, 30,33, 36, 39,42,45,48,51,54,57,60,63.

Число 4.
По такому же принципу.
4× 1 = 4
4×2 = 2
4,8,12, 16,20,24,28,32,36,40,44,48,52,56,60,64.

Число 5.
5 × 1 = 5
.., 10, 15,20,25,30,35,40,45,50,55,60,65.

И для чего все это ?

Мы должны найти числа которые во всех ( 3, 4 ,5 ) должны совпасть. Это и есть Наименьшее Общее Кратное.

Так смотрим.

В числах 3 и 4 : совпадает 24
Но в числе 5 : такого нету ( только 25 )
Значит оно не подходит.

Оно должно совпасть везде.

Смотрим дальше.

Видим число 60.

Оно есть везде.

Значит оно подходит, и мы его берем.

Можнл записать так НОК чисел 3,4,5 = 60.

Это мы нашли дни, через сколько парни встретятся. ( Через 60 дней)

Теперь найдем день недели.

Мы уже нашли через сколько дней они встретятся.

Мы знаем сколько дней в неделе. ( 7)

Мы сейчас узнаем сколько недель в 60 днях.

Для этого 60 : 7 = 8, 57...

Значит 8 недель, а остаток это дни.

5 дней, посчитаем. Пятый день недели это пятница.

Значит встретятся через 60 дней ( 8недель) в пятницу.
4,6(78 оценок)
Это интересно:
Новые ответы от MOGZ: Математика
logo
Вход Регистрация
Что ты хочешь узнать?
Спроси Mozg
Открыть лучший ответ