М
Молодежь
К
Компьютеры-и-электроника
Д
Дом-и-сад
С
Стиль-и-уход-за-собой
П
Праздники-и-традиции
Т
Транспорт
П
Путешествия
С
Семейная-жизнь
Ф
Философия-и-религия
Б
Без категории
М
Мир-работы
Х
Хобби-и-рукоделие
И
Искусство-и-развлечения
В
Взаимоотношения
З
Здоровье
К
Кулинария-и-гостеприимство
Ф
Финансы-и-бизнес
П
Питомцы-и-животные
О
Образование
О
Образование-и-коммуникации
alexsey13
alexsey13
17.01.2023 10:18 •  Математика

Решить неравенство: 21х > 2(х2+27). в ответе указать целое значение х, удовлетворяющее неравенству.

👇
Ответ:
mrhaon
mrhaon
17.01.2023
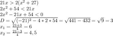
21x\ \textgreater \ 2(x^2+27)\\2x^2+54\ \textless \ 21x\\2x^2-21x+54\ \textless \ 0\\D=\sqrt{(-21)^2-4*2*54}=\sqrt{441-432}=\sqrt{9}=3\\x_1=\frac{21+3}{4}=6\\x_2=\frac{21-3}{4}=4,5

График во вложении. Ветви параболы направлены вверх, так как функция положительная. Точки не закрашены, так как неравенство строгое. 
x∈(–∞; 4,5)∪(6; +∞)
Наибольшее целое число – пятёрка. 

ответ: 5.
Решить неравенство: 21х > 2(х2+27). в ответе указать целое значение х, удовлетворяющее неравенств
4,7(43 оценок)
Открыть все ответы
Ответ:
ktuj240
ktuj240
17.01.2023

Единичная окружность понять, чему равны sin 2, sin 3, sin 4, sin5.

1 радиан - это угол, длина дуги которого равна радиусу окружности. Соответственно, определяем приблизительное местонахождение на единичной окружности углов в 2, 3, 4, и 5 радиан, отмечая каждую следующую точку через дугу, длина которой равна радиусу.

Поскольку синус - это ордината соответствующей точки на единичной окружности, то для нахождения sin 2, sin 3, sin 4, sin 5 достаточно определить значение y в точках  2, 3, 4, 5 радиан.

Поскольку синус — это y, то вверху, над осью x, синус принимает положительные значения. Поэтому sin 1>0, sin 2>0, sin 3>0. Соответственно внизу синус отрицателен: sin 4<0, sin 5<0.

ответ: Наибольшее sin 2


Выберите из данных чисел наибольшее: 1) sin2 2) sin3 3) sin4 4) sin 5
4,4(26 оценок)
Ответ:
iwaly2009
iwaly2009
17.01.2023

8.61+(-(3.99-2.65))=8.61-(3.99-2.65)=8.61-1.34=7.27

 

ответ: б)7.27

 

при x=-2.34, то (-x)+(-1.09)+5.26=2.34-1.09+5.26=6.51

г) другой ответ

 

найдите сумму всех целых чисел от -16 до 13

-16+(-15)+..+12+13=-16-15-14+(13-13)+(12-12)+...+(1-1)+0=-45

 

б)-45

.решите уравнение: у - (-2целых 3/4)=-2.33

у +2.75=-2.33

y=-2.33-2.75

y=-5.08=-5 целых 2/25

ответ: б)-5цел.2/25

 

найдите сумму всех целых отрицательных чисел больших -8 ,но меньших -3.

-7+(-6)+(-5)+(-4)+(-3)+(-2)+(-1)+0+1+2=-25

г)другой ответ

 

 

кажись так

 

4,7(24 оценок)
Новые ответы от MOGZ: Математика
logo
Вход Регистрация
Что ты хочешь узнать?
Спроси Mozg
Открыть лучший ответ