М
Молодежь
К
Компьютеры-и-электроника
Д
Дом-и-сад
С
Стиль-и-уход-за-собой
П
Праздники-и-традиции
Т
Транспорт
П
Путешествия
С
Семейная-жизнь
Ф
Философия-и-религия
Б
Без категории
М
Мир-работы
Х
Хобби-и-рукоделие
И
Искусство-и-развлечения
В
Взаимоотношения
З
Здоровье
К
Кулинария-и-гостеприимство
Ф
Финансы-и-бизнес
П
Питомцы-и-животные
О
Образование
О
Образование-и-коммуникации
ahmedovadidi090
ahmedovadidi090
28.01.2021 23:32 •  Математика

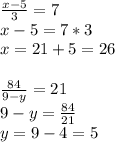
Решите уровнения. 1)x-5/3=7; 2)84/9-y=21;

👇
Ответ:
\frac{x-5}{3}=7\\x-5=7*3\\x=21+5=26\\\\\frac{84}{9-y}=21\\9-y=\frac{84}{21}\\y=9-4=5
4,7(70 оценок)
Открыть все ответы
Ответ:
Dimkakrut
Dimkakrut
28.01.2021
1) во-первых, нужно изобразить (с этим, я полагаю, вы справитесь самостоятельно) • отметим, что медиана an делит сторону bc пополам по определению 2) во-вторых, так как я глуп и не вижу иных способов решения, для начала вычислим все стороны треугольника abc посредством формулы расстояния между двумя точками ○ bc =  √((2 - (-4))² + (2 - 3)²) =  √(37) ○ ac =  √((2 - 1)² + (2 - 1)²) =  √2 ○ ab =  √ - 1)² + (3 - 1)²) =  √(29) 3) теперь найдем косинус  угла acb по теореме косинусов. обозначим его  α • 29 = 37 + 2 - 2√(37*2) cosα, cosα = 5/√(74). 4) искомую медиану na найдем также через теорему косинусов • na =  √(2 + (37/4) -  √(37*2) cosα), na = 2.5
4,6(94 оценок)
Ответ:
ruslan428
ruslan428
28.01.2021

90 - уменьшаемое

х - вычитаемое

53 + 10 - сумма чисел (разница)

Уравнение: 90 - х = 53 + 10

                     90 - х = 63

                     х = 90 - 63

                     х = 27

- - - - - - - - - - - - - - - - - - - - - - - - - - -

90 - уменьшаемое

х - вычитаемое

6 · 5 - произведение чисел (разница)

Уравнение: 90 - х = 6 · 5

                     90 - х = 30

                     х = 90 - 30

                     х = 60

- - - - - - - - - - - - - - - - - - - - - - - - - - -

90 - уменьшаемое

х - вычитаемое

32 : 4 - частное чисел (разница)

Уравнение: 90 - х = 32 : 4

                    90 - х = 8

                     х = 90 - 8

                     х = 82

4,6(95 оценок)
Новые ответы от MOGZ: Математика
logo
Вход Регистрация
Что ты хочешь узнать?
Спроси Mozg
Открыть лучший ответ