М
Молодежь
К
Компьютеры-и-электроника
Д
Дом-и-сад
С
Стиль-и-уход-за-собой
П
Праздники-и-традиции
Т
Транспорт
П
Путешествия
С
Семейная-жизнь
Ф
Философия-и-религия
Б
Без категории
М
Мир-работы
Х
Хобби-и-рукоделие
И
Искусство-и-развлечения
В
Взаимоотношения
З
Здоровье
К
Кулинария-и-гостеприимство
Ф
Финансы-и-бизнес
П
Питомцы-и-животные
О
Образование
О
Образование-и-коммуникации
Катер007
Катер007
05.10.2021 15:00 •  Математика

Сумма целых решений неравенства 14-|4x-5|⩾3 равна

👇
Ответ:
inlovewithaguitar
inlovewithaguitar
05.10.2021
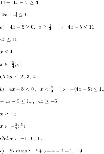
14-|4x-5| \geq 3\\\\|4x-5| \leq 11\\\\a)\quad 4x-5 \geq 0,\; \; x \geq \frac{5}{4}\quad \Rightarrow \; \; 4x-5 \leq 11\\\\4x \leq 16\\\\x \leq 4\\\\x\in [\, \frac{5}{4};4\, ]\\\\Celue:\; \; 2,\; 3,\; 4\; .\\\\b)\quad 4x-5\ \textless \ 0\; ,\; \; x\ \textless \ \frac{5}{4}\quad \Rightarrow \; \; -(4x-5) \leq 11\\\\-4x+5 \leq 11\; ,\; \; 4x \geq -6\\\\x \geq -\frac{3}{2}\\\\x\in [-\frac{3}{2};\frac{5}{4})\\\\Celue:\; \; -1,\; 0,\; 1\; .\\\\c)\quad Summa:\; \; 2+3+4-1+1=9
4,7(62 оценок)
Ответ:
Lugazat
Lugazat
05.10.2021
|4x-5|<=11
-11 <= 4x-5 <=11
-6 <= 4x <= 16
-1.5 <= x <= 4
x=-1;0;1;2;3;4
suma=9
4,5(34 оценок)
Открыть все ответы
Ответ:
nastic2k2
nastic2k2
05.10.2021
создание систем наблюдения, прогнозирования и оповещения населения; размещение новых населенных пунктов и объектов на побережье с учетом угрозы цунами на том или ином берегу, запрещение, за исключением особых случаев, нового строительства в цунамиопасных зонах; планомерный перенос в безопасные места существующих жилых, производственных и культурно-бытовых строений; заблаговременную подготовку маршрутов следования и специальных мест (площадок) на возвышенностях для сосредоточения населения и обеспечения его безопасности; строительство у входа бухт волноломов, а в вершине бухт — береговых дамб и других защитных гидротехнических сооружений; посадку на цунамиопасных побережьях деревьев, по возможности сосновых рощ.
4,4(93 оценок)
Ответ:
vikaberg
vikaberg
05.10.2021
Конкурс механиков.Ведущий: Ваша задача: с ложки перенести воду из одного сосуда в другой. Кто быстрее и точнее сделает это? (реквизит: 2 ложки, 2 тарелки, 2 стакана).
 Конкурс лоцманов и штурманов.Ведущий: В море встречается много рифов. Ваша задача: провести свои корабли между рифами с закрытыми глазами. Штурманы своим лоцманам, подсказывая дорогу. (реквизит: 2 шарфа, кегли, расставленные по залу).
 Конкурс юнг.Ведущий: А теперь представьте, что надвигается шторм (разбрасывают шашки по залу). Где наши юнги? Для вас – конкурсЧистая палуба. Кто соберет больше мусора, выигрывает. Трудность в том, что корабль качает из стороны в сторону. Мы нашим юнгам завяжем глаза. (Атрибуты: 2 шарфа, шашки или др. предметы). Конкурс радистов.Ведущий: Посмотрите, к нашему борту прибило послание. Радисты, приступайте к делу. Кто быстрее соберет разрезанную фразу и прочтет ее?(реквизит: 2 разрезанных листа с пословицей: "Где смелость, там и победа!"). Конкуpc коков.Ведущий: Мы уже давно в море и захотели есть. Давайте проверим мастерство наших коков. Вы должны очистить луковицу, разрезать ее, но самое главное - не заплакать. Кто быстрее и аккуратнее?(реквизит: 2 луковицы, 2 доски,2 ножа). Конкурс врачей. Ведущий: Посмотрите, что сделал шторм с нашими бинтами. А ну-ка, врачи, приведите их в порядок. Задача: скрутить бинт. Кто быстрее и аккуратнее?(реквизит: 2 бинта). Конкурс капитанов.Ведущий: Как правило, капитан – самый главный человек на корабле. От его знаний, умений и правильных решений зависит иногда жизнь корабля и его экипажа. Задача капитанов: кто больше, поочередно, не повторяясь, назовет слов, связанных с морской тематикой. Читай также: Сценарий на 23 февраля в школе: Рыцарский турнир
 Конкурс боцманов.Ведущий: Своевременное выполнение задания или команды зависит от боцмана. От того, насколько быстро он сумеет организовать команду. Задача боцманов: объяснить команду своему экипажу без слов, а только жестами и мимикой.2 карточки с заданиями: 1. Встать всему экипажу в шеренгу, положив руки друг другу на плечи. Ноги на ширине плеч. Качаться с одной ноги на другую.2. Встать всему экипажу в шеренгу и изобразить, что тянут канат.
 Конкурс танцевальный.Ведущий: Ну вот, пришло время посмотреть всю вашу команду. Экипажи должны станцевать танец моряков Яблочко.
 Конкурс силачей.Ведущий: А какой экипаж у нас сильнее? Это легко выяснить с каната. (реквизит: канат).
 Конкурс болельщиков.Ведущий: Ну вот, пришло время для тех, кто ждал наши корабли на берегу. Нужно вспомнить (пропеть) как можно больше песен про море, капитана, моряков. За каждую песню - очко. 
 В течении всей игры за каждую победу в конкурсе вывешивается флажок той команде, которая в нем победила. В конце игры подсчитываются флажки у каждой команды. Итоги и награждение.
4,8(81 оценок)
Это интересно:
Новые ответы от MOGZ: Математика
logo
Вход Регистрация
Что ты хочешь узнать?
Спроси Mozg
Открыть лучший ответ