М
Молодежь
К
Компьютеры-и-электроника
Д
Дом-и-сад
С
Стиль-и-уход-за-собой
П
Праздники-и-традиции
Т
Транспорт
П
Путешествия
С
Семейная-жизнь
Ф
Философия-и-религия
Б
Без категории
М
Мир-работы
Х
Хобби-и-рукоделие
И
Искусство-и-развлечения
В
Взаимоотношения
З
Здоровье
К
Кулинария-и-гостеприимство
Ф
Финансы-и-бизнес
П
Питомцы-и-животные
О
Образование
О
Образование-и-коммуникации
tanyagrandf
tanyagrandf
17.07.2020 07:32 •  Математика

Система: x^log7(y) +y^ log7(x) =98; log7(x)+ log7(y)=3

👇
Ответ:
fefilovanastyaa
fefilovanastyaa
17.07.2020
Свойство: a^{\log_cb}=b^{\log_ca}
\begin{cases}
 & \text{ } y^{\log_7x}+y^{\log_7x}=98 \\ 
 & \text{ } \log_7x+\log_7y=3 
\end{cases}\Rightarrow\begin{cases}
 & \text{ } 2y^{\log_7x=98} \\ 
 & \text{ } \log_7x+\log_7y=3 
\end{cases}\Rightarrow\\ \\ \Rightarrow\begin{cases}
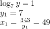
 & \text{ } y^{\log_7x}=49 \\ 
 & \text{ } xy=7^3 
\end{cases}\Rightarrow\begin{cases}
 & \text{ } \log_7x\log_7y=\log_749 \\ 
 & \text{ } xy=343 
\end{cases}\Rightarrow\Rightarrow\begin{cases}
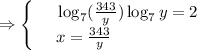
 & \text{ } \log_7( \frac{343}{y})\log_7y=2 \\ 
 & \text{ } x= \frac{343}{y} 
\end{cases}

Дальше все по свойству
  (\log_7343-\log_7y)\log_7y=2\\ (3-\log_7y)\log_7y=2

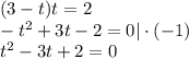
Пусть \log_7y=t, тогда будем иметь
   (3-t)t=2\\ -t^2+3t-2=0|\cdot(-1)\\ t^2-3t+2=0
По т. Виета: t_1=1;\,\,\,\, t_2=2

Обратная замена
  \log_7y=1\\ y_1=7\\ x_1= \frac{343}{y_1} =49

\log_7y=2\\y_2=49\\x_2= \frac{343}{y_2}=7

ответ: (49;7),\,\,\,(7;49).
4,7(82 оценок)
Открыть все ответы
Ответ:
Абзал111111
Абзал111111
17.07.2020
Вместе с тем на центральном предкавказье кабарда стала играть доминирующую роль и оказывать значительное влияние на соседние народы. укреплению могущества кабарды способствовали не только внутренние факторы, но и распад такого мощного союза племен – как аланского, жившего в непосредственной близости к ней. по утверждению католического монаха юлиана, посетившего аланию в 30-е годы хiii в., в этой стране «сколько местечек, столько князей, из которых никто не считает себя подчиненными другому. здесь постоянная война князя с князем, местечка с местечком». хотя, адыги в определенные периоды их , когда этого требовала обстановка, выступали союзниками алан в борьбе с общим врагом, все же для них алания была на северном кавказе серьезным соперником в распространении своего влияния на соседние народы, их и культуру. таким образом, в лице алании, кабарда потеряла в хiii в. сильнейшего конкурента и соперника на северном кавказе.
4,4(76 оценок)
Ответ:
OLYA332321
OLYA332321
17.07.2020
1. а 1710,7428 делятся на 2     б.  1919, 4155,  7428 делятся на 3     в. 1710,   делится на 10 2. 174/340=87/170 ( сокращается только на 2) 3)   синих-10шт       красных-? в2 раза больше синих       простых-? на 5 больше синих       1) 20х2 =40 шт - красных карандашей         2) 20+5 =25 шт - простых карандашей       3) 20: 10 = 2 шт   синих  может быть в 1наборе         4) 40: 10 =4 шт   красных может быть в 1наборе         5) 25: 10= 2,5 шт простых ответ: нет нельзя
4,8(79 оценок)
Новые ответы от MOGZ: Математика
logo
Вход Регистрация
Что ты хочешь узнать?
Спроси Mozg
Открыть лучший ответ