М
Молодежь
К
Компьютеры-и-электроника
Д
Дом-и-сад
С
Стиль-и-уход-за-собой
П
Праздники-и-традиции
Т
Транспорт
П
Путешествия
С
Семейная-жизнь
Ф
Философия-и-религия
Б
Без категории
М
Мир-работы
Х
Хобби-и-рукоделие
И
Искусство-и-развлечения
В
Взаимоотношения
З
Здоровье
К
Кулинария-и-гостеприимство
Ф
Финансы-и-бизнес
П
Питомцы-и-животные
О
Образование
О
Образование-и-коммуникации
Larisa150301
Larisa150301
05.04.2021 23:30 •  Математика

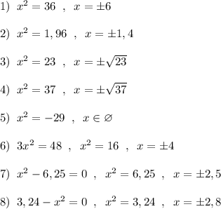
Решить уравнения полное решение 1) x^2=36 2) x^2=1,96 3) x^2-23 4) x^2=37 5) x^2=-29 6) 3x^2=48 7) x^2-6,25=0 8) 3,24-x^2=0

👇
Ответ:
Ka4erga3000
Ka4erga3000
05.04.2021
1)\; \; x^2=36\; \; ,\; \; x=\pm 6\\\\2)\; \; x^2=1,96\; \; ,\; \; x=\pm 1,4\\\\3)\; \; x^2=23\; \; ,\; \; x=\pm \sqrt{23}\\\\4)\; \; x^2=37\; \; ,\; \; x=\pm \sqrt{37}\\\\5)\; \; x^2=-29\; \; ,\; \; x\in \varnothing \\\\6)\; \; 3x^2=48\; \; ,\; \; x^2=16\; \; ,\; \; x=\pm 4\\\\7)\; \; x^2-6,25=0\; \; ,\; \; x^2=6,25\; \; ,\; \; x=\pm 2,5\\\\8)\; \; 3,24-x^2=0\; \; ,\; \; x^2=3,24\; \; ,\; \; x=\pm 2,8
4,4(63 оценок)
Открыть все ответы
Ответ:
tatybat
tatybat
05.04.2021

1. Переведем время отплытия и время прибытия катера в минуты и вычтем друг из друга

9*60мин+18мин=558 мин - время отплытия катера от пристани,

14*60мин+14мин=854мин - время прибытия катера в пункт назначения,

854-558=296 мин,

получившееся время нужно поделить столбиком на 60 мин,

получается 4 целых и 56 в остатке,

это значит, что катер был в пути 4 часа 56 минут.

 

2. В этой задаче нам нужно перевести все время в секунды

5*60*60+29*60+42=18000+1740+42=19782 - время запуска спутника в секундах,

2*60*60+34*60+53=7200+2040+53=9293 - время полета спутника,

теперь прибавим время запуска ко времени полета

19782+9293=29075

теперь это время делим столбиком на 3600

получаем 8 целых 275 в остатке,

275 делим столбиком на 60 - получаем 4 целых 35 в остатке,

это значит, что спутник вышел на орбиту в 8 часов 4 минуты 35 секунд.

ответ: катер был в пути 4 часа 56 минут, спутник вышел на орбиту 8 часов 4 минуты 35 секунд.

4,6(8 оценок)
Ответ:
динара1316
динара1316
05.04.2021
Арифм градусов - 1 угол(где 4 - есть:1 часть- 1 угол, т.к он меньший, значит второму углу достаётся 2 части. Третьему углу достаётся 1 часть.Т.к. 3 угол > 1 угла, то мы из суммы всех углов треугольника вычтем эти 28, потом разделим на 4 равные части.) 2)38×2=76 градусов второй угол 3)38+28=66 градусов- 3 угол Алгебр Решать уравнением. Пусть Х-первый угол, 2Х- второй угол, Х+28 - третий угол.По условию (по теореме из геометрии) сумма углов в треугольнике равна 180 градусов. Получим уравнение: Х+2Х+Х+28=180 4Х=180-28 4Х=152 Х=38 - первый угол. 2)38×2=76 градусов второй угол 3)38+28=66 градусов- 3 угол. Отметь как лучшее.Хорошо???
4,5(95 оценок)
Это интересно:
Новые ответы от MOGZ: Математика
logo
Вход Регистрация
Что ты хочешь узнать?
Спроси Mozg
Открыть лучший ответ