М
Молодежь
К
Компьютеры-и-электроника
Д
Дом-и-сад
С
Стиль-и-уход-за-собой
П
Праздники-и-традиции
Т
Транспорт
П
Путешествия
С
Семейная-жизнь
Ф
Философия-и-религия
Б
Без категории
М
Мир-работы
Х
Хобби-и-рукоделие
И
Искусство-и-развлечения
В
Взаимоотношения
З
Здоровье
К
Кулинария-и-гостеприимство
Ф
Финансы-и-бизнес
П
Питомцы-и-животные
О
Образование
О
Образование-и-коммуникации
LidaDay
LidaDay
22.11.2020 12:46 •  Математика

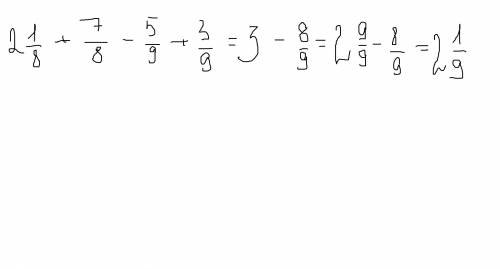
Решить пример! (2 целых 1/8 + 7/8) - (5/9 - 3/9) заранее ! ·ω·

👇
Ответ:
haydarakyol1986
haydarakyol1986
22.11.2020
Вроде так решается. Там где 3 целых, можно заменить на 2 и 9/9
Решить пример! (2 целых 1/8 + 7/8) - (5/9 - 3/9) заранее ! ·ω·
4,4(34 оценок)
Ответ:
kisslenkayaozax1i
kisslenkayaozax1i
22.11.2020
(Не получается кинуть фото)
(2 целых 1/8+7/8)-(5/9-3/9)=2 целых 8/8-2/9=3 целых - 2/9= 25/9=2 целых 7/9
4,4(37 оценок)
Открыть все ответы
Ответ:
artem2006voskanyan
artem2006voskanyan
22.11.2020
Получаются два прямоугольных подобных треугольника
Первый треугольник
х - катет - искомая высота от земли до прожектора
20 + 5 = 25 шагов - катет - расстояние от стены до конца тени человека
гипотенуза проходит от прожектора, скользя вдоль головы, к концу тени человека 
Второй треугольник
1,8 м - катет - рост человека
5 шагов - катет - длина тени человека
гипотенуза  - расстояние от головы до конца тени 
Стена и человек расположены параллельно по отношению друг к другу, а это значит, что прямая, проведённая параллельно любой стороне треугольника, отсекает треугольник, подобный данному.
Т. к. данные треугольники подобны, то имеем отношение подобных сторон 
х/1,8 = 25/5
х = 1,8 * 25 : 5 = 9 м - ответ
4,5(47 оценок)
Ответ:
torin39193919
torin39193919
22.11.2020
Получаются два прямоугольных подобных треугольника
Первый треугольник
х - катет - искомая высота от земли до прожектора
20 + 5 = 25 шагов - катет - расстояние от стены до конца тени человека
гипотенуза проходит от прожектора, скользя вдоль головы, к концу тени человека 
Второй треугольник
1,8 м - катет - рост человека
5 шагов - катет - длина тени человека
гипотенуза  - расстояние от головы до конца тени 
Стена и человек расположены параллельно по отношению друг к другу, а это значит, что прямая, проведённая параллельно любой стороне треугольника, отсекает треугольник, подобный данному.
Т. к. данные треугольники подобны, то имеем отношение подобных сторон 
х/1,8 = 25/5
х = 1,8 * 25 : 5 = 9 м - ответ
4,4(48 оценок)
Это интересно:
Новые ответы от MOGZ: Математика
logo
Вход Регистрация
Что ты хочешь узнать?
Спроси Mozg
Открыть лучший ответ