М
Молодежь
К
Компьютеры-и-электроника
Д
Дом-и-сад
С
Стиль-и-уход-за-собой
П
Праздники-и-традиции
Т
Транспорт
П
Путешествия
С
Семейная-жизнь
Ф
Философия-и-религия
Б
Без категории
М
Мир-работы
Х
Хобби-и-рукоделие
И
Искусство-и-развлечения
В
Взаимоотношения
З
Здоровье
К
Кулинария-и-гостеприимство
Ф
Финансы-и-бизнес
П
Питомцы-и-животные
О
Образование
О
Образование-и-коммуникации
iskanderkhusano
iskanderkhusano
24.05.2020 15:45 •  Математика

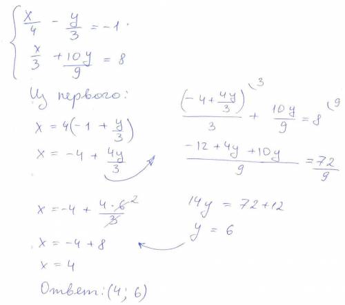
Решите систему уравнений х/4-у/3=-1 х/3+10у/9=8

👇
Ответ:
ксю825
ксю825
24.05.2020
Решение на картинке
____________________________
Решите систему уравнений х/4-у/3=-1 х/3+10у/9=8
4,8(84 оценок)
Открыть все ответы
Ответ:
narutoudzumaki228
narutoudzumaki228
24.05.2020
8 недель+2 недели=10 недель
190000/10=19000 теньге заработали за 1 неделю
Значит найдем сколько за 8 недель:
19000*8=152000 теньге
значит, за 2 недели  заработали 19000*2=38000 теньге
проверим. всего заработали 190000 теньге: первый заработал за 8 недель 152000 теньге, второй 38000 теньге за 2 недели
152000+38000=190000 теньге

1) 190000/10=19000(теньге) - заработали за 1 неделю
2) 19000*2=38000(теньге) - заработали за 2 недели
3) 19000*8=152000(теньге) - заработали за 8 недель
ответ: 1 рабочий=38000 теньге за 2 недели, 2 рабочий 152000 теньге за 8 недель.
4,5(40 оценок)
Ответ:
Br0cHk1
Br0cHk1
24.05.2020

Пошаговое объяснение:

Compose and write down two phrases with selected words from the fairy tale of Alexander Sergeevich Pushkin using nouns in the genitive and dative cases, select the endings and specify the declension. words: Elisha, not discouraged, rushed to the wind, calling the wind, the wind you are mighty, you drive flocks of clouds, you excite the blue sea, you blow everywhere in the open, you are not afraid of anyone but God alone, the country is a princess, the way is a daughter, a stepmother mirror

4,5(19 оценок)
Это интересно:
Новые ответы от MOGZ: Математика
logo
Вход Регистрация
Что ты хочешь узнать?
Спроси Mozg
Открыть лучший ответ