М
Молодежь
К
Компьютеры-и-электроника
Д
Дом-и-сад
С
Стиль-и-уход-за-собой
П
Праздники-и-традиции
Т
Транспорт
П
Путешествия
С
Семейная-жизнь
Ф
Философия-и-религия
Б
Без категории
М
Мир-работы
Х
Хобби-и-рукоделие
И
Искусство-и-развлечения
В
Взаимоотношения
З
Здоровье
К
Кулинария-и-гостеприимство
Ф
Финансы-и-бизнес
П
Питомцы-и-животные
О
Образование
О
Образование-и-коммуникации
anya64yankop08swl
anya64yankop08swl
21.12.2020 14:36 •  Математика

Как решить уравнение 112 разделить на 17 плюс икс равно 4

👇
Ответ:
JeanSu
JeanSu
21.12.2020
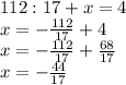
112:17 + x = 4 \\
x = -\frac{112}{17} + 4\\
x = -\frac{112}{17} + \frac{68}{17} \\
x = - \frac{44}{17} 

4,6(46 оценок)
Открыть все ответы
Ответ:
Алтынбек05
Алтынбек05
21.12.2020

С самого начала в поход пойти хотело 10 учеников.

Пошаговое объяснение:

Учеников, которые встали в ряд на 1 меньше, чем было до этого. Вы сами можете это проверить, например, между 5 пальцами на руке 4 промежутка.

Узнаем сколько учеников было до того, как в ряд встала 3 группа учеников:

1) 37 + 1 : 2 = 19 ( уч. ) - было до того, как встала в ряд 3 группа учеников.

Узнаем сколько учеников было сначала:

2) 19 + 1 : 2 = 10 ( уч. ) - было сначала.

Проверка:

Узнаем размер 2 группы учеников:

1) 10 - 1 = 9 ( уч. ) - 2 группа учеников.

Узнаем сколько стало учеников после того, как в ряд встала 2 группа учеников:

2) 10 + 9 = 19 ( уч. ) - стало после того, как в ряд встала 2 группа учеников.

Узнаем размер 3 группы учеников:

3) 19 - 1 = 18 ( уч. ) - 3 группа учеников.

Узнаем сколько учеников в итоге пошли в поход:

4) 19 + 18 = 37 ( уч. ) - в итоге пошли в поход.

УДАЧИ!
4,7(88 оценок)
Ответ:
SSultanShaS
SSultanShaS
21.12.2020

С самого начала в поход пойти хотело 10 учеников.

Пошаговое объяснение:

Учеников, которые встали в ряд на 1 меньше, чем было до этого. Вы сами можете это проверить, например, между 5 пальцами на руке 4 промежутка.

Узнаем сколько учеников было до того, как в ряд встала 3 группа учеников:

1) 37 + 1 : 2 = 19 ( уч. ) - было до того, как встала в ряд 3 группа учеников.

Узнаем сколько учеников было сначала:

2) 19 + 1 : 2 = 10 ( уч. ) - было сначала.

Проверка:

Узнаем размер 2 группы учеников:

1) 10 - 1 = 9 ( уч. ) - 2 группа учеников.

Узнаем сколько стало учеников после того, как в ряд встала 2 группа учеников:

2) 10 + 9 = 19 ( уч. ) - стало после того, как в ряд встала 2 группа учеников.

Узнаем размер 3 группы учеников:

3) 19 - 1 = 18 ( уч. ) - 3 группа учеников.

Узнаем сколько учеников в итоге пошли в поход:

4) 19 + 18 = 37 ( уч. ) - в итоге пошли в поход.

УДАЧИ!
4,8(74 оценок)
Это интересно:
Новые ответы от MOGZ: Математика
logo
Вход Регистрация
Что ты хочешь узнать?
Спроси Mozg
Открыть лучший ответ