М
Молодежь
К
Компьютеры-и-электроника
Д
Дом-и-сад
С
Стиль-и-уход-за-собой
П
Праздники-и-традиции
Т
Транспорт
П
Путешествия
С
Семейная-жизнь
Ф
Философия-и-религия
Б
Без категории
М
Мир-работы
Х
Хобби-и-рукоделие
И
Искусство-и-развлечения
В
Взаимоотношения
З
Здоровье
К
Кулинария-и-гостеприимство
Ф
Финансы-и-бизнес
П
Питомцы-и-животные
О
Образование
О
Образование-и-коммуникации
ruslan201380
ruslan201380
17.10.2022 12:28 •  Математика

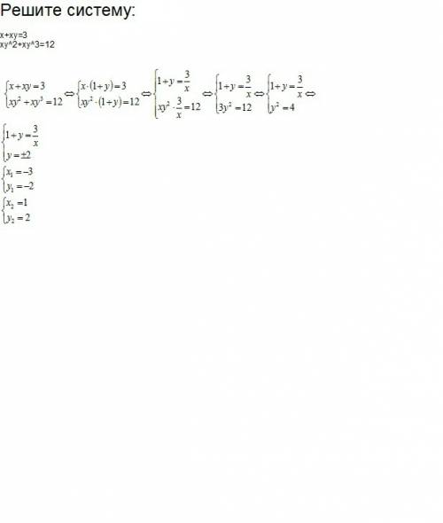
Решите систему: x+xy=3 xy^2+xy^3=12

👇
Ответ:
JuLIaNNa2747
JuLIaNNa2747
17.10.2022
Решение во вложении-------------------
Решите систему: x+xy=3 xy^2+xy^3=12
4,5(25 оценок)
Открыть все ответы
Ответ:
ааа511
ааа511
17.10.2022
Начало греческой истории скрывается во мраке сказочных преданий. Обитатели Греции —арийские племена, которые переселялись из Европы в Азию. Первые поселенцы — пеласги и эллины.Эллины отличались от пеласгов воинственной предприимчивостью.Героический период заключает в себе мифы о героях. Герои — это полубожественные существа, стоящие на промежуточной ступени между богами и людьми. Чаще всего один из родителей героя был какой-нибудь бог.
Сведения о греческой мифологии дошли до нас в огромном количестве памятников письменной литературы — художественной и научной. Основными источниками изучения греческой мифологии являются "Илиада" и "Одиссея" Гомера.Миф у Гомера излагается как объективное явление.

P.S. Такой подойдет?
4,4(51 оценок)
Ответ:
блабла70
блабла70
17.10.2022
Можно решить системой. Условие; огурцы+помидоры=заправка* 2,5раз; помидоры+заправка=10г; огурцы=10г:2,5; заправка=?; обозначим огурцы=Х; помидоры=У; заправка=Z; подставляем; {(Х+У)=2,5*Z; Y+Z=10; X=10:2,5} отсюда Сперва Х=10:2,5; Х=4; теперь ищем У; У+Z=10; отсюда Y=10-Z; подставим Х и У ; (X+Y)= 2,5Z; (4+(10-Z))= 2,5Z; 4+10-Z=2,5Z; 14=2,5Z+Z; 14=3,5Z; Z=14: 3,5; Z=4; теперь У= 10-Z; Y=10-4; Y=6; проверим; подставим что нашли {(X+Y)= 2,5*Z; 4+6=2,5*4; 10=10; Y+Z=10; 6+4=10; 10=10;} получили верное решение; огурцы=Х=4г; Помидоры=У=6г; Заправка=Z=4г; если вместе все 4+6+4=14г; ответ:заправка весит 4г.
4,6(34 оценок)
Это интересно:
Новые ответы от MOGZ: Математика
logo
Вход Регистрация
Что ты хочешь узнать?
Спроси Mozg
Открыть лучший ответ