М
Молодежь
К
Компьютеры-и-электроника
Д
Дом-и-сад
С
Стиль-и-уход-за-собой
П
Праздники-и-традиции
Т
Транспорт
П
Путешествия
С
Семейная-жизнь
Ф
Философия-и-религия
Б
Без категории
М
Мир-работы
Х
Хобби-и-рукоделие
И
Искусство-и-развлечения
В
Взаимоотношения
З
Здоровье
К
Кулинария-и-гостеприимство
Ф
Финансы-и-бизнес
П
Питомцы-и-животные
О
Образование
О
Образование-и-коммуникации
зомб1
зомб1
22.01.2023 19:28 •  Математика

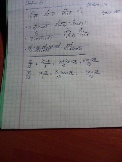
Выполните сложение и вычитание дробей: x/12+x-7/3

👇
Ответ:
rewington1
rewington1
22.01.2023
1. сложение= 5х-28/12
2. вычитание=-3х + 28/12
Выполните сложение и вычитание дробей: x/12+x-7/3
4,6(70 оценок)
Открыть все ответы
Ответ:

1ход-1м 76см <

2ход-?,на68см б---

3ход-?,на 2м 31 см б Двух ходов

1)176+68=244(см)-2ход

2)(176+244)+231=651(см)-3 ход

3)420+651=1071(см)-Всего

 

 

 

Сн.-32г

Кл.-?,на 11г б

32+11=43(г)-клест

 

*Условие незнаю!*

24х4=96(кг)-3а 4 часа

 

 

1день-5ящ.по 34 уп.

2день-6ящ.

Всего за 2 дня-?

1)34х5=170(уп.)-3а 1-ый день всего

2)170+34=204(уп)-3а 2-ой день всего

3)170+204=374(уп.)-За 2 дня

 

 

 

 

*Условие незнаю!*

1)654-(287-215)=588(шт)-если было бы одинаковое кол-во

2)588:2=294(шт)-грибов

3)294+72=366(шт)-орехов

 

4,4(72 оценок)
Ответ:
shtylenko2002
shtylenko2002
22.01.2023

1ход-1м 76см <

2ход-?,на68см б---

3ход-?,на 2м 31 см б Двух ходов

1)176+68=244(см)-2ход

2)(176+244)+231=651(см)-3 ход

3)420+651=1071(см)-Всего

 

 

 

Сн.-32г

Кл.-?,на 11г б

32+11=43(г)-клест

 

*Условие незнаю!*

24х4=96(кг)-3а 4 часа

 

 

1день-5ящ.по 34 уп.

2день-6ящ.

Всего за 2 дня-?

1)34х5=170(уп.)-3а 1-ый день всего

2)170+34=204(уп)-3а 2-ой день всего

3)170+204=374(уп.)-За 2 дня

 

 

 

 

*Условие незнаю!*

1)654-(287-215)=588(шт)-если было бы одинаковое кол-во

2)588:2=294(шт)-грибов

3)294+72=366(шт)-орехов

 

4,8(20 оценок)
Новые ответы от MOGZ: Математика
logo
Вход Регистрация
Что ты хочешь узнать?
Спроси Mozg
Открыть лучший ответ