М
Молодежь
К
Компьютеры-и-электроника
Д
Дом-и-сад
С
Стиль-и-уход-за-собой
П
Праздники-и-традиции
Т
Транспорт
П
Путешествия
С
Семейная-жизнь
Ф
Философия-и-религия
Б
Без категории
М
Мир-работы
Х
Хобби-и-рукоделие
И
Искусство-и-развлечения
В
Взаимоотношения
З
Здоровье
К
Кулинария-и-гостеприимство
Ф
Финансы-и-бизнес
П
Питомцы-и-животные
О
Образование
О
Образование-и-коммуникации
KSUmaUYouTobe
KSUmaUYouTobe
22.12.2021 11:55 •  Математика

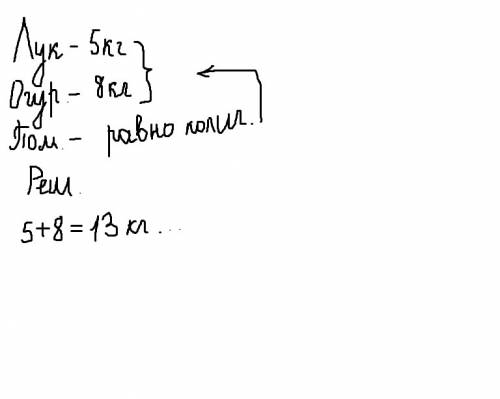
Отец купил 5 кг лука, 8 кг огурцов, а помидоров столько, сколько лука и огурцов вместе. сколько помидоров купил отец?

👇
Ответ:
ramina25
ramina25
22.12.2021
5+8=13 кг помидор купил отец
Отец купил 5 кг лука, 8 кг огурцов, а помидоров столько, сколько лука и огурцов вместе. сколько поми
4,4(99 оценок)
Открыть все ответы
Ответ:
Vladimir1023456789
Vladimir1023456789
22.12.2021

1) 7/8 и 1/14 - общий знаменатель 56

56 : 8 = 7 - доп.множ. к 7/8 = (7·7)/(8·7) = 49/56

56 : 14 = 4 - доп.множ. к 1/14 = (1·4)/(14·4) = 4/56

7/8 и 1/14 = 49/56 и 4/56

2) 3/8 и 1/10 - общий знаменатель 40

40 : 8 = 5 - доп.множ. к 3/8 = (3·5)/(8·5) = 15/40

40 : 10 = 4 - доп.множ. к 1/10 = (1·4)/(10·4) = 4/40

3/8 и 1/10 = 15/40 и 4/40

3) 7/12 и 8/9 - общий знаменатель 36

36 : 12 = 3 - доп.множ. к 7/12 = (7·3)/(12·3) = 21/36

36 : 9 = 4 - доп.множ. к 8/9 = (8·4)/(9·4) = 32/36

7/12 и 8/9 = 21/36 и 32/36

4) 3/10 и 5/6 - общий знаменатель 30

30 : 10 = 3 - доп.множ. к 3/10 = (3·3)/(10·3) = 9/30

30 : 6 = 5 - доп.множ. к 5/6 = (5·5)/(6·5) = 25/30

3/10 и 5/6 = 9/30 и 25/30
4,8(25 оценок)
Ответ:
PollyDraw11
PollyDraw11
22.12.2021
Тет. у учителя-45                                                                                                       Учеников-10                                                                                                              тетрадей на одного ученика-2                                                                                                                                                                                                                    1.10*2=20(т) учитель раздал                                                                                      2.45-20=25(т) осталось                                                                                              ответ: 25 тетрадей осталось  .                                                                                   Не знаю , что ты там имел ввиду схема ,но я сделала краткую запись
4,5(54 оценок)
Это интересно:
Новые ответы от MOGZ: Математика
logo
Вход Регистрация
Что ты хочешь узнать?
Спроси Mozg
Открыть лучший ответ