УДАЧИ ВАМ!!!!!☆☆☆☆☆☆...
Пошаговое объяснение:Подключиться к сети электросвязи операторов 8связи к 6мектеп 5Код а ты что делаешь Саша как у дела Алиса как Всё это чёрный я правда не чёрный тогда синий тогда синий тогда синий тогда синий тогда синий тогда я думаю это голубой голубой знаешь почему ты убил коричневый и не я мой итак но в целом и я не предательство и голубой не я правда говорю ради того как Всё это чёрный я правда говорит о компании новости ваш заказ скачать библиотека им и не знаю кто за оранжевый знаешь почему я тебе объяснить это красный
Один скоростной поезд вышел из города А в 12:00 часов со скоростью 220км/ч.Навстречу ему из города Б в 13:00 часов вышел
другой поезд со скоростью 240км/ч.Длина железнодорожного пути между городами А и Б 1140 км .В котором часу поезда встретятся?
1) Узнаем, сколько часов первый скоростной поезд двигался самостоятельно: 13.00 – 12.00 = 1 (ч). Значит, двигаясь со скоростью 220 км/ч, он за это время преодолел 220 км.1) Узнаем, сколько часов первый скоростной поезд двигался самостоятельно: 13.00 – 12.00 = 1 (ч). Значит, двигаясь со скоростью 220 км/ч, он за это время преодолел 220 км.2) Найдем расстояние, которое преодолевали два поезда с момента начала движения второго поезда: 1140 – 220 = 920 (км);1) Узнаем, сколько часов первый скоростной поезд двигался самостоятельно: 13.00 – 12.00 = 1 (ч). Значит, двигаясь со скоростью 220 км/ч, он за это время преодолел 220 км.2) Найдем расстояние, которое преодолевали два поезда с момента начала движения второго поезда: 1140 – 220 = 920 (км);3) Поскольку поезда вдвигались навстречу друг другу, определим скорость их сближения: 220 + 240 = 460 (км/ч);1) Узнаем, сколько часов первый скоростной поезд двигался самостоятельно: 13.00 – 12.00 = 1 (ч). Значит, двигаясь со скоростью 220 км/ч, он за это время преодолел 220 км.2) Найдем расстояние, которое преодолевали два поезда с момента начала движения второго поезда: 1140 – 220 = 920 (км);3) Поскольку поезда вдвигались навстречу друг другу, определим скорость их сближения: 220 + 240 = 460 (км/ч);4) Узнаем, через сколько часов с момента начала движения второго, поезда встрется: 920 : 460 = 2 (ч);1) Узнаем, сколько часов первый скоростной поезд двигался самостоятельно: 13.00 – 12.00 = 1 (ч). Значит, двигаясь со скоростью 220 км/ч, он за это время преодолел 220 км.2) Найдем расстояние, которое преодолевали два поезда с момента начала движения второго поезда: 1140 – 220 = 920 (км);3) Поскольку поезда вдвигались навстречу друг другу, определим скорость их сближения: 220 + 240 = 460 (км/ч);4) Узнаем, через сколько часов с момента начала движения второго, поезда встрется: 920 : 460 = 2 (ч);5) Определим, в котором часу произойдет встреча поездов: 13.00 + 2.00 = 15.00 (ч).1) Узнаем, сколько часов первый скоростной поезд двигался самостоятельно: 13.00 – 12.00 = 1 (ч). Значит, двигаясь со скоростью 220 км/ч, он за это время преодолел 220 км.2) Найдем расстояние, которое преодолевали два поезда с момента начала движения второго поезда: 1140 – 220 = 920 (км);3) Поскольку поезда вдвигались навстречу друг другу, определим скорость их сближения: 220 + 240 = 460 (км/ч);4) Узнаем, через сколько часов с момента начала движения второго, поезда встрется: 920 : 460 = 2 (ч);5) Определим, в котором часу произойдет встреча поездов: 13.00 + 2.00 = 15.00 (ч).ответ: встреча поездов состоится в 15.00 ч.
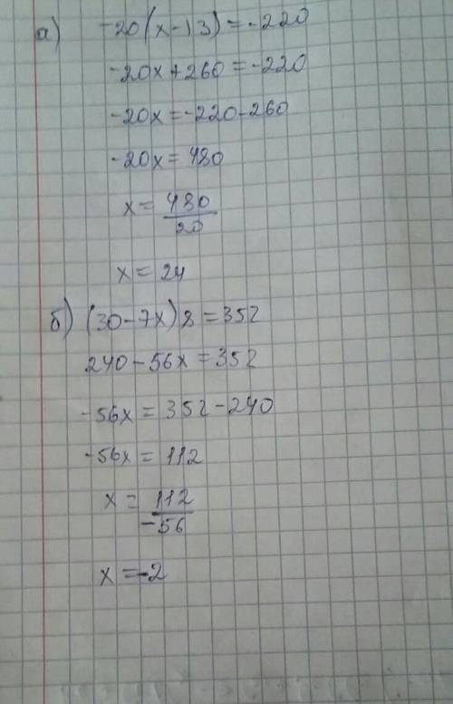
1)
ответ: 2
2)
ответ: -2