М
Молодежь
К
Компьютеры-и-электроника
Д
Дом-и-сад
С
Стиль-и-уход-за-собой
П
Праздники-и-традиции
Т
Транспорт
П
Путешествия
С
Семейная-жизнь
Ф
Философия-и-религия
Б
Без категории
М
Мир-работы
Х
Хобби-и-рукоделие
И
Искусство-и-развлечения
В
Взаимоотношения
З
Здоровье
К
Кулинария-и-гостеприимство
Ф
Финансы-и-бизнес
П
Питомцы-и-животные
О
Образование
О
Образование-и-коммуникации
Kismos2006
Kismos2006
25.12.2022 06:23 •  Математика

Решите, , легким в приложении photomath сложно

👇
Ответ:
misterpordon
misterpordon
25.12.2022

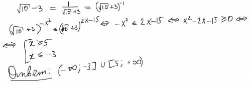
Решение на картинке снизу


Решите, , легким в приложении photomath сложно
4,7(79 оценок)
Открыть все ответы
Ответ:
кек903
кек903
25.12.2022
45=9*5.

Значит это число должно иметь множителем 5 и 3*3.

а) 75 делится без остатка на 5, так как по правилу деления на 5 это число оканчивается либо на 5, либо на 0.

Теперь 75 делится без остатка на 3. Так как сумма цифр в этом числе 7+5=12.
12:3=4. Получили одну тройку.

33:3=11. Получили вторую тройку. 

ответ: это число делится на 45.

2) Здесь на 5 делится первое число. 9165 оканчивается на 5.

Теперь надо искать тройки.

387 делится нацело даже на 9. Так как сумма цифр равна 3+8+7=11+7=18.
18:9=2. Значит нашли и 9.

ответ: это число делится на 45.

в) 165 делится на 5. Так как оканчивается на 5.
165 также делится на тройку. 1+6+5=12. 12:3=4. Сумма цифр этого числа делится на 3.

39:3=13. Это число тоже делится на 3. Значит среди множителей данного числа есть 3*3 и 5.

ответ: число делится на 45
4,6(40 оценок)
Ответ:
112234848
112234848
25.12.2022
Для Бабы -Яги   -Бабушка, Вы такая умудренная огромным жизненным опытом!
для Золушки     - Милая, не зависимо от того где ты находишься, всё начинает
                          блестеть: дома-  кастрюли, на балу -  глаза принца!
для Кощея Бессмертного - Мне бы Ваше бесконечное здоровье!
для Сивки-Бурки -  Твоя преданность и быстрота вызывают зависть даже у собак и
                              сапогов- скороходов!
для Емели-         - Емеля, как же ты потрясающе удачлив, вчера еще сидел на
                           печи, а сегодня женишься на принцессе!
4,4(54 оценок)
Это интересно:
Новые ответы от MOGZ: Математика
logo
Вход Регистрация
Что ты хочешь узнать?
Спроси Mozg
Открыть лучший ответ