М
Молодежь
К
Компьютеры-и-электроника
Д
Дом-и-сад
С
Стиль-и-уход-за-собой
П
Праздники-и-традиции
Т
Транспорт
П
Путешествия
С
Семейная-жизнь
Ф
Философия-и-религия
Б
Без категории
М
Мир-работы
Х
Хобби-и-рукоделие
И
Искусство-и-развлечения
В
Взаимоотношения
З
Здоровье
К
Кулинария-и-гостеприимство
Ф
Финансы-и-бизнес
П
Питомцы-и-животные
О
Образование
О
Образование-и-коммуникации

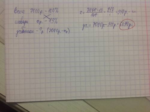
Для школьной библиотеки закупили словари и учебники на 7000 руб. за словари заплатили 13 сотых всех денег. сколько стоили учебники?

👇
Ответ:
Olgarezkova
Olgarezkova
15.09.2021
Решение через пропорцию
Для школьной библиотеки закупили словари и учебники на 7000 руб. за словари заплатили 13 сотых всех
4,6(85 оценок)
Открыть все ответы
Ответ:
adadasda65p06utn
adadasda65p06utn
15.09.2021
Если рассматривать числа с разными цифрами, то: 
Десятичная запись такого числа имеет вид: 10*Х+У. 
При делении на Х получаем 10+У/Х - целое. 
Значит У/Х - целое. Обозначим его к. Тогда У=к*Х. 
Значит число имеет вид 10*Х+к*Х. 
При делении на У=к*Х получаем (10+к) /к=10/к+1 - целое. 
Значит 10/к - целое, к может быть равно или 2 или 5. 
При к=5 Х может быть только 1, а У=5, т. е число 15. 
При к=2 Х может принимать значения 1, 2, 3, 4. 
Это числа 12, 24, 36, 48. 
Если рассматривать числа с одинаковыми цифрами, то это могут быть 11, 22, 33, 44, 55, 66, 77, 88, 99. 
Но скорее всего имеются в виду числа с разными цифрами: 12, 15, 24, 36, 48.
4,5(3 оценок)
Ответ:
fatimatagiyeva
fatimatagiyeva
15.09.2021
Проведем шесть прямых так, чтоб угол между соседними прямыми был одинаков, получим точку и исходящие из нее 12 лучей (потому что точка будет разбивать прямую на два отрезка, то есть 6 прямых умножим на 2)
Если мысленно провести круг (с центром пересечения прямых) - это 360°.  Соответственно угол между двумя соседними прямыми будет 360/12=30° т.е. меньше 31°. 
Если же прямые проводить так, чтоб угол наклона между соседними не был равномерным, тогда между какими-то он будет увеличиваться, но между какими-то пропорционально уменьшаться.  А значит градусная мера как минимум двух углов будет меньше 31°
4,5(51 оценок)
Это интересно:
Новые ответы от MOGZ: Математика
logo
Вход Регистрация
Что ты хочешь узнать?
Спроси Mozg
Открыть лучший ответ