М
Молодежь
К
Компьютеры-и-электроника
Д
Дом-и-сад
С
Стиль-и-уход-за-собой
П
Праздники-и-традиции
Т
Транспорт
П
Путешествия
С
Семейная-жизнь
Ф
Философия-и-религия
Б
Без категории
М
Мир-работы
Х
Хобби-и-рукоделие
И
Искусство-и-развлечения
В
Взаимоотношения
З
Здоровье
К
Кулинария-и-гостеприимство
Ф
Финансы-и-бизнес
П
Питомцы-и-животные
О
Образование
О
Образование-и-коммуникации
Настя528858
Настя528858
25.03.2021 21:42 •  Математика

Найдите корень уравнения: - x - 2 + 3(x - 3) = 3(4 - x) - 3

👇
Ответ:
NastyaKovalenkoo
NastyaKovalenkoo
25.03.2021
-x-2+3(x-3)=3(4-x)-3
-x-2+3x-9=12-3x-3
2x+3x=9+11
5x=20
x=4
4,5(52 оценок)
Ответ:
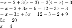
-x-2+3(x-3)=3(4-x)-3\\
-x-2+3x-9=12-3x-3\\
-x+3x+3x=12-3+2+9\\
5x=20\\
x=4
ответ: x = 4
4,4(32 оценок)
Открыть все ответы
Ответ:
Vikaa1111
Vikaa1111
25.03.2021
Раз таблеток 4, а ему нужно принять только 2, причем разных,  тогда следует  КАЖДУЮ таблетку разломить ПОПОЛАМ. Половину  от КАЖДОЙ таблетки принять, а оставшуюся ПОЛОВИНКУ  ОТЛОЖИТЬ В СТОРОНУ и оставить для следующего приема.
Пусть К -красная таблетка, а С - синяя.   1/2 - принятая половинка, 1/2 - отложенная для следующего приема.
Тогда: К+К+С+С = делим и откладываем =
(1/2К +1/2К)+(1/2К+1/2К)+(1/2С +1/2С)+(1/2С+1/2С) =  принимаем = (1/2К+1/2К)+(1/2К+1/2К)+(1/2С+1/2С)+(1/2С+1/2С) = (К+С) + (К+С) .  
4,6(56 оценок)
Ответ:
Brainly223331156
Brainly223331156
25.03.2021
Если в задаче нет опечатки, и х, у, z - это действительно цифры в некоторой системе счисления, то основание этой системы счисления должно быть
во-первых нечетным (т.к. иначе х, у, z - нечетные и в сумме не дадут четное число 30),
а во-вторых это основание должно быть больше 15. Пробуем основание 17:
30 в 17-ичной системе это 3*17=51
15 в 17-ичной системе это 17+5=22
13 в 17-ичной системе это 17+3=20
9 в 17-ичной системе это 9.
Т.к. в 10-ичной системе 22+20+9=51, то в 17-ичной системе получаем равенство: 15+13+9=30.
4,5(3 оценок)
Это интересно:
Новые ответы от MOGZ: Математика
logo
Вход Регистрация
Что ты хочешь узнать?
Спроси Mozg
Открыть лучший ответ