М
Молодежь
К
Компьютеры-и-электроника
Д
Дом-и-сад
С
Стиль-и-уход-за-собой
П
Праздники-и-традиции
Т
Транспорт
П
Путешествия
С
Семейная-жизнь
Ф
Философия-и-религия
Б
Без категории
М
Мир-работы
Х
Хобби-и-рукоделие
И
Искусство-и-развлечения
В
Взаимоотношения
З
Здоровье
К
Кулинария-и-гостеприимство
Ф
Финансы-и-бизнес
П
Питомцы-и-животные
О
Образование
О
Образование-и-коммуникации
Тосямдр
Тосямдр
28.03.2021 21:24 •  Математика

Составить уравнение по корням х1 = 3- корень 2/3 х2= 3+корень 2/3

👇
Ответ:
spongebob2353
spongebob2353
28.03.2021
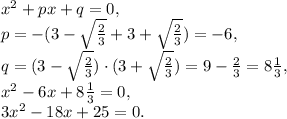
x^2+px+q=0, \\
p=-(3-\sqrt{\frac{2}{3}}+3+\sqrt{\frac{2}{3}})=-6, \\
q=(3-\sqrt{\frac{2}{3}})\cdot(3+\sqrt{\frac{2}{3}})=9-\frac{2}{3}=8\frac{1}{3}, \\
x^2-6x+8\frac{1}{3}=0, \\ 3x^2-18x+25=0.
4,5(26 оценок)
Открыть все ответы
Ответ:
yoanna0900
yoanna0900
28.03.2021

1) Минойский или Крито-Микенский период

2) Гомеровский период или «темные века»

3) Архаический период истории Древней ГрецииГреция периода архаики — это совершенствование ремёсел и кораблестроение, появление настоящих денег и широкое распространение железа. О временных рамках архаического периода ведутся споры. Принято рассматривать его в пределах 8-5 веков до н.э.

Источник: https://greekbook.ru/greekhistory/arhaicheskij-period-drevnej-gretsii.html

Пошаговое объяснение:

характеристика

1) самый ранний этап Древней Греции, охвативший 3-2 тысячилетие до н.э.(2700-1400 до н.э.)Критское царство было одним из самых могущественных на территории Греции в этот период

2)период в истории Древней Греции, охватывающий XI—IX века до н. э. (иногда продлевается до середины VIII века), который начался после дорийского вторжения и последовавшего заката микенской цивилизации и закончился с началом расцвета греческих полисов, называемого архаическим периодом.

3)Греция периода архаики — это совершенствование ремёсел и кораблестроение, появление настоящих денег и широкое распространение железа. О временных рамках архаического периода ведутся споры. Принято рассматривать его в пределах 8-5 веков до н.э.

4,4(1 оценок)
Ответ:
kitsrarr
kitsrarr
28.03.2021

1. 1 км/5=  200 метров

200 метров* 3 = 600 метров

2. 1/2 чертишь после 3 клетки, 2/3 после 4й клетки, 7/6 на одну клетку после отрезка.

3. 9/16 больше, так как знаменатель один, то сразу сравниваем числители, 9 больше 7. 7/16<9/16

приводим 16/27 и 5/9 к общему знаменателю '27'. Сравниваем дроби 16/27 и 15/27. 16/27> 5/9

у 5/7 и 5/8 числители одинаковые, а знаменатели нет, значит смотрим на меньший знаменатель. 5/7> 5/8

4. 30/42= 5/7

5. 2 часа= 120 минут.

120 минут делим на 6= 30 минут

ответ: 30 минут

6. а) 6/7 б)8/9 в) 70/3

7. 24/6=4

4 умножить на 7= 28

8. 21/36= 7/12= 14/24

14/24< 15/24

9. 180/9= 20

20 умножить на 2= 40 страниц Петя прочитал в первый день

180/5= 36 страниц Петя прочитал во второй день

180- (40+36)= 104 страницы осталось прочитать Пете

10. 1= 9/9 или 18/18

10/9= 20/19

ответ: 19/18

4,8(97 оценок)
Это интересно:
logo
Вход Регистрация
Что ты хочешь узнать?
Спроси Mozg
Открыть лучший ответ