М
Молодежь
К
Компьютеры-и-электроника
Д
Дом-и-сад
С
Стиль-и-уход-за-собой
П
Праздники-и-традиции
Т
Транспорт
П
Путешествия
С
Семейная-жизнь
Ф
Философия-и-религия
Б
Без категории
М
Мир-работы
Х
Хобби-и-рукоделие
И
Искусство-и-развлечения
В
Взаимоотношения
З
Здоровье
К
Кулинария-и-гостеприимство
Ф
Финансы-и-бизнес
П
Питомцы-и-животные
О
Образование
О
Образование-и-коммуникации
Sachak95
Sachak95
21.02.2021 03:17 •  Математика

Решить неравенство{1}{\sqrt{10}-3})^{\frac{x+2}{1-x}}< (\frac{1}{\sqrt{10}+3})^{\frac{2x+8}{x+1}}[/tex]

👇
Ответ:
evalissa17
evalissa17
21.02.2021

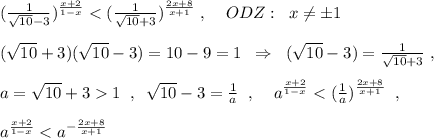
(\frac{1}{\sqrt{10}-3})^{\frac{x+2}{1-x}}<(\frac{1}{\sqrt{10}+3})^{\frac{2x+8}{x+1}}\; ,\; \; \; \; ODZ:\; \; x\ne \pm 1\\\\ (\sqrt{10}+3)(\sqrt{10}-3)=10-9=1\; \; \Rightarrow \; \; (\sqrt{10}-3)=\frac{1}{\sqrt{10}+3}\; ,\\\\a=\sqrt{10}+31\; \; ,\; \; \sqrt{10}-3=\frac{1}{a}\; \; ,\; \; \; \; a^{\frac{x+2}{1-x}}<(\frac{1}{a})^{\frac{2x+8}{x+1}}\; \; ,\\\\a^{\frac{x+2}{1-x}}<a^{-\frac{2x+8}{x+1}}

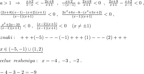
a1\; \; \Rightarrow \; \; \; \frac{x+2}{1-x}<-\frac{2x+8}{x+1}\; \; ,\; \; \frac{x+2}{-(x-1)}+\frac{2x+8}{x+1}<0\; \; ,\; \; \frac{2x+8}{x+1}-\frac{x+2}{x-1}<0\; ,\\\\\frac{(2x+8)(x-1)-(x+2)(x+1)}{(x-1)(x+1)}<0\; ,\; \; \frac{2x^2+6x-8-(x^2+3x+2)}{(x-1)(x+1)}<0\; ,\\\\\frac{x^2+3x-10}{(x-1)(x+1)}<0\; ,\; \; \frac{(x-2)(x+5)}{(x-1)(x+1)}<0\; \; \; \; (x\ne \pm 1)\\\\znaki:\; \; \; +++(-5)---(-1)+++(1)---(2)+++\\\\\underline {x\in (-5,-1)\cup (1,2)}\\\\celue\; \; resheniya:\; \; x=-4\; ,\; -3\; ,\; -2\; .\\\\-4-3-2=-9

4,5(3 оценок)
Открыть все ответы
Ответ:
Викусик1258
Викусик1258
21.02.2021
Пусть х(км\ч) - скорость лодки в стоячей воде, тогда х+1(км\ч) - скорость по течению, а х-1(км\ч) - против течения.
20/1+х(ч) - время лодки по течению, тогда 20/х-1(ч) - время против течения.
По условию задачи известно, что на весь путь затрачено 9/2(ч).
Составим уравнение.

20/х+1 + 20/х-1 = 9/2

40х-40+40х+40-9х(2)+9х-9х+9=0
-9х(2)+80х+9 /*1
9х(2)-80х-9
D=6400+324=6724 > 0

х1 = (80+82)/18=9(км\ч) - скорость лодки в стоячей воде.

х2 = (80-82)/18 = -1\9(км-ч) - не удовлетворяет условию задачи, так как скорость не может быть отрицательной.

ответ: 9км\ч.
4,7(58 оценок)
Ответ:
Prinsseska2004
Prinsseska2004
21.02.2021
Уравнение  проходящий  через  точек  U(x1;y1)  и  R(x2;y2)
       (x - x1)/(x2 - x1) = (y - y1)/(y2 - y1)  ⇒ 
   Уравнение  MN  :   (x - (-4))/(-1 -(-4)) = (y - 6)/(0-6)  ⇔ 
         (x+4)/3 = (6 - y)/6  ⇔ 2x+8 = 6 - y    ⇔             2x +y = -2 
   Уравнение  АК :      (x - (-8))/(6 - (-8)) = (y - (-1))/(6 - (-1))   ⇔
         (x+8)/14 = (y+1)/7  ⇔  x+8 = 2y+2    ⇔             x - 2y = -6
     Уравнение  оси   Оx (АБСЦИСС)  :   y = 0
     Уравнение  оси   Oy (ОРДИНАТ)  :    x = 0
   
Координаты  точки  C   пересечения  АК  с   Ох   :  надо  решить  систему  уравнений : 
      x - 2y = -6 :  
            y=0            ⇒  x = -6     т.е.     C( -6:0)
 Координаты  точки   D  пересечения  АК  с  оси  ординат:
      x - 2y = -6 :
             x = 0         ⇒  y = 3       т.е.     D(0;3)
 Координаты  точки  B  пересечения  АК  и  MN ,  решим  систему  уравнений :
       x - 2y = -6 ;
      2x+y = -2       ⇒  x = -2 ; y = 2 ;  т.е   B( -2;2)
4,4(11 оценок)
Это интересно:
Новые ответы от MOGZ: Математика
logo
Вход Регистрация
Что ты хочешь узнать?
Спроси Mozg
Открыть лучший ответ