М
Молодежь
К
Компьютеры-и-электроника
Д
Дом-и-сад
С
Стиль-и-уход-за-собой
П
Праздники-и-традиции
Т
Транспорт
П
Путешествия
С
Семейная-жизнь
Ф
Философия-и-религия
Б
Без категории
М
Мир-работы
Х
Хобби-и-рукоделие
И
Искусство-и-развлечения
В
Взаимоотношения
З
Здоровье
К
Кулинария-и-гостеприимство
Ф
Финансы-и-бизнес
П
Питомцы-и-животные
О
Образование
О
Образование-и-коммуникации
Аленка1242
Аленка1242
12.06.2021 05:16 •  Математика

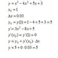
Вычислите приближенное значение функции x³-4x²+5x+3 при x=1,03

👇
Ответ:
Muhammadkhodja
Muhammadkhodja
12.06.2021
Вычисление приближённого значения:

Вычислите приближенное значение функции x³-4x²+5x+3 при x=1,03
4,5(15 оценок)
Открыть все ответы
Ответ:
Dedret
Dedret
12.06.2021

На 604см³ объем куба с ребром 9см больше.

На 56см² площадь куба с ребром 9см больше.

Пошаговое объяснение:

Формула нахождения объема куба

V=a³

V1=9³ =9*9*9=729см³ объем куба с ребром 9см.

V2=5³=5*5*5=125 см³ объем куба с ребром 5см.

729-125=604 см³ на столько объем куба с ребром 9см больше объема куба с ребром 5см.

Формула нахождения площади куба.

S=6a²

S1=9²=81см² площадь куба с ребром 9см.

S2=5²=25 см² площадь куба с ребром 5см.

81-25=56 см² на столько площадь куба с ребром 9см больше площади куба с ребром 5см

4,5(57 оценок)
Ответ:
легенда19
легенда19
12.06.2021

ответ:Исходная задача:

Легковая машина догонит грузовик через 2 часа.

Обратная задача:

Расстояние между посёлками - 40 кг.

Пошаговое объяснение:

Справка:

Исходная задача:

Узнаем скорость сближения:

1) 80 - 60 = 20 ( км/ч ) - скорость сближения.

Узнаем время пути:

2) 40 : 20 = 2 ( ч ) - время пути.

Обратная задача:

Условие:

Из посёлка A выехал легковой автомобиль со скоростью 80 км/ч, а из посёлка Б выехал грузовик со скоростью 60 км/ч. Через 2 часа после начала движения легковая машина догнала грузовик. Какое расстояние между посёлками?

Узнаем скорость сближения:

1) 80 - 60 = 20 ( км/ч ) - скорость сближения.

Узнаем расстояние между посёлками:

2) 20 * 2 = 40 ( км ) - расстояние между посёлками

Пошаговое объяснение:

4,5(26 оценок)
Это интересно:
Новые ответы от MOGZ: Математика
logo
Вход Регистрация
Что ты хочешь узнать?
Спроси Mozg
Открыть лучший ответ