М
Молодежь
К
Компьютеры-и-электроника
Д
Дом-и-сад
С
Стиль-и-уход-за-собой
П
Праздники-и-традиции
Т
Транспорт
П
Путешествия
С
Семейная-жизнь
Ф
Философия-и-религия
Б
Без категории
М
Мир-работы
Х
Хобби-и-рукоделие
И
Искусство-и-развлечения
В
Взаимоотношения
З
Здоровье
К
Кулинария-и-гостеприимство
Ф
Финансы-и-бизнес
П
Питомцы-и-животные
О
Образование
О
Образование-и-коммуникации
minnie2
minnie2
19.03.2023 19:44 •  Математика

Найти угловой коэффициент касательной к графику функции в данной точке: 1) f(x)=x^2, x₀=2 2) f(x)=x^2 x, x₀=-1 3) f(x)=x^2, x₀=-2 4) f(x)=x^2, x₀=2

👇
Ответ:
MilankaMarkova
MilankaMarkova
19.03.2023
Угловой коэффициент касательной y в точке x_0 - это производная аргумента в этой точке (f'(x_0)).

Имеем:

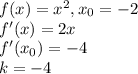
1) 
f(x)=x^2, x_0=2\\
f'(x)=2x\\
f'(x_0)=4\\
k = 4

2)
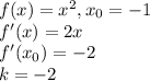
f(x)=x^2, x_0=-1\\
f'(x)=2x\\
f'(x_0)=-2\\
k = -2

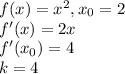
3)
f(x)=x^2, x_0=-2\\
f'(x)=2x\\
f'(x_0)=-4\\
k = -4

4)
f(x)=x^2, x_0=2\\
f'(x)=2x\\
f'(x_0)=4\\
k = 4
4,6(69 оценок)
Открыть все ответы
Ответ:
cocume
cocume
19.03.2023

ответ: при d=-24/5.

Пошаговое объяснение:

Пусть a2, a3, a4, a5 - члены арифметической прогрессии, а d - её разность. По условию, 3*a2+a4=16. А так как a2=a1+d и a4=a1+3*d, то это уравнение можно переписать в виде: 3*a1+3*d+a1+3*d=16, или 4*a1+6*d=16, или 2*a1+3*d=8. И так как a3=a1+2*d и a5=a1+4*d, то P=a3*a5=(a1+2*d)*(a1+4*d)=a1²+6*a1*d+8*d². Из уравнения 2*a1+3*d=8 находим a1=4-3/2*d. Подставляя это выражение в выражение для P, получаем P как функцию аргумента d: P(d)=(4-3/2*d)²+6*(4-3/2*d)*d+8*d²=5/4*d²+12*d+16=5/4*(d+24/5)²-64/5. Отсюда находим d+24/5=0 и d=-24/5.

4,6(71 оценок)
Ответ:
Vedma1338
Vedma1338
19.03.2023

сделаю часть:

1. ответ Б) 4/9 (8 - 7 5/9 = 4/9);

 

2. от вет А) запятая поставлена не в том месте - 14,112 (420 = 100%, х = 28%, х = 420*28:100 = 117,6; далее 117,6 = 100%, х = 12%, х = 117,6*12:100 = 14,112);

 

5. ответ Г) 7 (В букете число красных цветов составляет 1/6 от числа жёлтых, т.е. 1 красный + 6 желтых. Когда из букета убрали 1 жёлтый цветок, число красных цветов составило 20% от числа жёлтых: 1 красный + 5 желтых, а 1/5 = 20%).

 

7. ответ В) 3 (4(1,5 - 3х) - 1,2(2,5 - 15х) = 3 + 6х).

 

9. ответ Г) -13 (-7-6-5-4-3-2-1+1+2+3+4+5 = -28 + 15 = -13).

 

дальше не знаю

4,4(26 оценок)
Это интересно:
Новые ответы от MOGZ: Математика
logo
Вход Регистрация
Что ты хочешь узнать?
Спроси Mozg
Открыть лучший ответ