М
Молодежь
К
Компьютеры-и-электроника
Д
Дом-и-сад
С
Стиль-и-уход-за-собой
П
Праздники-и-традиции
Т
Транспорт
П
Путешествия
С
Семейная-жизнь
Ф
Философия-и-религия
Б
Без категории
М
Мир-работы
Х
Хобби-и-рукоделие
И
Искусство-и-развлечения
В
Взаимоотношения
З
Здоровье
К
Кулинария-и-гостеприимство
Ф
Финансы-и-бизнес
П
Питомцы-и-животные
О
Образование
О
Образование-и-коммуникации
MonSlon
MonSlon
17.07.2022 11:25 •  Математика

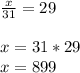
Какое число надо вписать в окошко чтобы равенство стало верным ._: 31 равно29

👇
Ответ:

\frac{x}{31} = 29\\\\x = 31 * 29\\x = 899

ответ: 899

4,8(100 оценок)
Открыть все ответы
Ответ:
leetine7
leetine7
17.07.2022
Добрый день! Спасибо за ваш вопрос. Я с удовольствием выступлю в роли школьного учителя и помогу вам разобраться с данной задачей.

Для начала, давайте разберемся, что представляет из себя данное выражение: "х + (22,7 - х)". Здесь х - это некоторое число, которое может принимать любое значение, а в скобках у нас стоит выражение "22,7 - х". Внутри скобок, мы имеем разность двух чисел - 22,7 и х.

Теперь давайте посмотрим, что происходит с выражением в целом. Когда мы складываем х и (22,7 - х), мы фактически вычитаем х из 22,7. К примеру, если х равно 5, то мы имеем: 5 + (22,7 - 5) = 5 + 17,7 = 22,7. Когда мы складываем 5 и разность 22,7 - 5, получаем сумму 22,7.

Теперь давайте рассмотрим другой пример. Предположим, что х равно 15. Тогда мы имеем: 15 + (22,7 - 15) = 15 + 7,7 = 22,7. Снова получаем сумму 22,7.

Мы можем привести множество других примеров, но в каждом из них мы приходим к одному и тому же результату: сумма "х + (22,7 - х)" будет равна 22,7.

Таким образом, верное утверждение: при любом значении х, выражение "х + (22,7 - х)" равно 22,7.

Поэтому правильный ответ на данную задачу будет А) верно.
4,5(16 оценок)
Ответ:
mrazamar0kk
mrazamar0kk
17.07.2022
Давайте решим эту задачу пошагово. Нам дано, что Сейил, Алла и Тамара разделили 40 орешков в отношении 112 : 196 : 252.

Шаг 1: Найдем сумму отношения.

112 + 196 + 252 = 560

Это значит, что в общей сложности у нас есть 560 частей.

Шаг 2: Разделим количество орешков (40) на общее количество частей (560), чтобы найти сколько орешков приходится на одну часть:

40 / 560 ≈ 0.0714

Таким образом, одна часть будет составлять примерно 0.0714 орешка.

Шаг 3: Теперь, чтобы найти сколько орешков получила каждая из них, мы нужно умножить количество частей на размер каждого отношения.

Для Сейила:
112 * 0.0714 ≈ 7.999

Таким образом, Сейил получил примерно 8 орешков.

Для Аллы:
196 * 0.0714 ≈ 13.999

Алла получила примерно 14 орешков.

Для Тамары:
252 * 0.0714 ≈ 17.998

Тамара получила примерно 18 орешков.

Итак, Сейил получил около 8 орешков, Алла - около 14 орешков и Тамара - около 18 орешков.

Примечание: Здесь мы округлили до трех десятичных знаков для удобства, поэтому полученные значения не являются точными, а примерными.
4,5(81 оценок)
Это интересно:
Новые ответы от MOGZ: Математика
logo
Вход Регистрация
Что ты хочешь узнать?
Спроси Mozg
Открыть лучший ответ