М
Молодежь
К
Компьютеры-и-электроника
Д
Дом-и-сад
С
Стиль-и-уход-за-собой
П
Праздники-и-традиции
Т
Транспорт
П
Путешествия
С
Семейная-жизнь
Ф
Философия-и-религия
Б
Без категории
М
Мир-работы
Х
Хобби-и-рукоделие
И
Искусство-и-развлечения
В
Взаимоотношения
З
Здоровье
К
Кулинария-и-гостеприимство
Ф
Финансы-и-бизнес
П
Питомцы-и-животные
О
Образование
О
Образование-и-коммуникации
sagal63
sagal63
22.06.2020 22:37 •  Математика

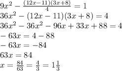
Решить уравнение. 9х^2-(12х-11)(3х+8)/4=1

👇
Ответ:
Егор4ik18
Егор4ik18
22.06.2020
9x^2- \frac{(12x-11)(3x+8)}{4}=1 \\ 36 x^{2} -(12x-11)(3x+8)=4 \\ 36 x^{2} -36 x^{2} -96x+33x+88=4 \\ -63x=4-88 \\ -63x=-84 \\63x=84 \\ x= \frac{84}{63}= \frac{4}{3} =1 \frac{1}{3}
4,8(88 оценок)
Ответ:
dimanicich
dimanicich
22.06.2020
Хорошо! Давайте решим это уравнение пошагово.

1. В начале, увеличим точность выражения в скобках, раскрывая их. Умножим (12x - 11) на (3x + 8) с помощью распределительного закона:
9x^2 - (12x - 11)(3x + 8)/4 = 1
Распределительный закон гласит, что (a - b)(c + d) = ac + ad - bc - bd. Применим его для раскрытия скобок:
9x^2 - (36x^2 + 96x - 33x - 88)/4 = 1
9x^2 - (36x^2 + 63x - 88)/4 = 1
Обратите внимание, что мы также сократили дроби (на 12 и -11), чтобы упростить выражение.

2. Далее, проведем умножение и деление внутри каждого слагаемого:
9x^2 - (36x^2 + 63x - 88)/4 = 1
9x^2 - (36x^2/4 + 63x/4 - 88/4) = 1
9x^2 - (9x^2 + 63x/4 - 22) = 1
Для удобства, разделим на 4 каждое слагаемое внутри скобок:
9x^2 - 9x^2/4 - (63x/4 - 22/4) = 1
9x^2 - 9x^2/4 - (63x - 11)/4 = 1
Теперь мы можем взять общий знаменатель (4) и объединить дроби внутри скобок:
9x^2 - 9x^2/4 - (63x - 11)/4 = 1
У нас есть два слагаемых с общим знаменателем, поэтому мы можем вычесть их:
9x^2 - 9x^2/4 - (63x - 11)/4 = 1
9x^2 - (9x^2 + 63x - 11)/4 = 1
9x^2 - 9x^2/4 - 63x/4 + 11/4 = 1
(36x^2 - 9x^2 - 63x + 11)/4 = 1

3. Теперь, упростим числитель дроби:
(36x^2 - 9x^2 - 63x + 11)/4 = 1
(27x^2 - 63x + 11)/4 = 1

4. Далее, умножим обе части уравнения на 4, чтобы избавиться от дроби:
(27x^2 - 63x + 11)/4 * 4 = 1 * 4
27x^2 - 63x + 11 = 4

5. Теперь, приведем уравнение к квадратному виду, перенеся все слагаемые влево:
27x^2 - 63x + 11 - 4 = 0
27x^2 - 63x + 7 = 0

6. Наконец, решим полученное квадратное уравнение. Для этого мы можем использовать квадратную формулу:
x = (-b ± √(b^2 - 4ac)) / (2a)
Где a = 27, b = -63 и c = 7.
x = (-(-63) ± √((-63)^2 - 4*27*7)) / (2*27)
x = (63 ± √(3969 - 756)) / 54
x = (63 ± √(3213)) / 54

7. Мы не можем упростить корень квадратный из 3213, поэтому оставим его в таком виде:
x = (63 ± √(3213)) / 54
Это будут два возможных значения для x.

Таким образом, решение уравнения 9x^2 - (12x-11)(3x+8)/4 = 1 будет:
x = (63 ± √(3213)) / 54.
4,6(28 оценок)
Проверить ответ в нейросети
Это интересно:
Новые ответы от MOGZ: Математика
logo
Вход Регистрация
Что ты хочешь узнать?
Спроси Mozg
Открыть лучший ответ