М
Молодежь
К
Компьютеры-и-электроника
Д
Дом-и-сад
С
Стиль-и-уход-за-собой
П
Праздники-и-традиции
Т
Транспорт
П
Путешествия
С
Семейная-жизнь
Ф
Философия-и-религия
Б
Без категории
М
Мир-работы
Х
Хобби-и-рукоделие
И
Искусство-и-развлечения
В
Взаимоотношения
З
Здоровье
К
Кулинария-и-гостеприимство
Ф
Финансы-и-бизнес
П
Питомцы-и-животные
О
Образование
О
Образование-и-коммуникации
Huran
Huran
28.01.2023 05:11 •  Математика

Найдите периметр равностороннего треугольника медиана которого равна 9см

👇
Ответ:
artem55452
artem55452
28.01.2023
Пусть х см сторона треугольника АВС, АК - медиана.
медиана равностороннего треугольника является и высотой, тогда из прямоугольного Δ АКС 
 медиана АК = √(х²-х²/4) =(х√3)/2
(х√3)/2=9
х√3=18
х=18/√3=6√3 (см) - сторона треугольника АВС
Р = 3*6√3 = 18√3 (см) - периметр
4,8(99 оценок)
Ответ:
SRALIK
SRALIK
28.01.2023
Медиана в равн. треугл. - это и высота, и гипотенуза
и так, медиана поделила треугольник пополам(АБС - треугл, БН - высота), значит если НС - а, то БС - 2а. Находим сторону по формуле:
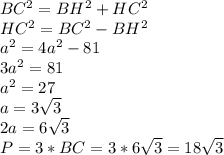
BC^2=BH^2+HC^2 \\ HC^2= BC^2-BH^2\\ a^2= 4a^2-81 \\ 3a^2=81 \\ a^2=27 \\ a=3 \sqrt{3} \\ 2a=6 \sqrt{3} \\ 
P=3*BC=3*6 \sqrt{3}=18 \sqrt{3}
4,6(96 оценок)
Открыть все ответы
Ответ:
оооо140
оооо140
28.01.2023
1. Предположим что стул стоит х рублей.
2. Так как стол стоит в 3 раза дороже, следовательно его стоимость составляет 3х рублей.
3. Поскольку стул и стол вместе стоят 800 рублей, следовательно мы можем составить уравнение и вычислить сколько стоит стул.
х + 3х = 800;
4х = 800;
х = 800 / 4;
х = 200 рублей.
4. А теперь вычислим чему равна стоимость стола.
200 * 3 = 600 рублей.
5. Узнаем сколько будут стоить стол и 6 стульев.
600 + 200 * 6 = 600 + 1200 = 1800 рублей.
6. Теперь вычислим стоимость трех столов.
600 * 3 = 1800 рублей.
Следовательно первое утверждение верно.
7. А теперь узнаем на сколько стол дороже стула.
600 - 200 = 400 рублей.
Следовательно второе утверждение не верно.
4,4(54 оценок)
Ответ:
artemp20012
artemp20012
28.01.2023

Пошаговое объяснение:

Предположим что стул стоит х рублей.

Так как стол стоит в 3 раза дороже, следовательно его стоимость составляет 3х рублей.

Поскольку стул и стол вместе стоят 800 рублей, следовательно мы можем составить уравнение и вычислить сколько стоит стул.

х + 3х = 800;

4х = 800;

х = 800 / 4;

х = 200 рублей.

А теперь вычислим чему равна стоимость стола.

200 * 3 = 600 рублей.

Узнаем сколько будут стоить стол и 6 стульев.

600 + 200 * 6 = 600 + 1200 = 1800 рублей.

Теперь вычислим стоимость трех столов.

600 * 3 = 1800 рублей.

Следовательно первое утверждение верно.

. А теперь узнаем на сколько стол дороже стула.

600 - 200 = 400 рублей.

4,4(99 оценок)
Это интересно:
Новые ответы от MOGZ: Математика
logo
Вход Регистрация
Что ты хочешь узнать?
Спроси Mozg
Открыть лучший ответ