М
Молодежь
К
Компьютеры-и-электроника
Д
Дом-и-сад
С
Стиль-и-уход-за-собой
П
Праздники-и-традиции
Т
Транспорт
П
Путешествия
С
Семейная-жизнь
Ф
Философия-и-религия
Б
Без категории
М
Мир-работы
Х
Хобби-и-рукоделие
И
Искусство-и-развлечения
В
Взаимоотношения
З
Здоровье
К
Кулинария-и-гостеприимство
Ф
Финансы-и-бизнес
П
Питомцы-и-животные
О
Образование
О
Образование-и-коммуникации
Эленедмонд
Эленедмонд
15.07.2020 15:24 •  Математика

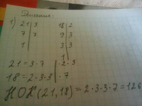
Найдите наименьшее общее кратное чисел, разложимив их на простые множители 1) 21и18 2) 24и33 3) 16и20 4) 20и35 5) 75и90 6) 6и13

👇
Ответ:
Вот держи,всё правильно
Найдите наименьшее общее кратное чисел, разложимив их на простые множители 1) 21и18 2) 24и33 3) 16и2
Найдите наименьшее общее кратное чисел, разложимив их на простые множители 1) 21и18 2) 24и33 3) 16и2
Найдите наименьшее общее кратное чисел, разложимив их на простые множители 1) 21и18 2) 24и33 3) 16и2
Найдите наименьшее общее кратное чисел, разложимив их на простые множители 1) 21и18 2) 24и33 3) 16и2
4,4(22 оценок)
Открыть все ответы
Ответ:
Okladakey
Okladakey
15.07.2020
Решаем через уравнение.
Обозначим искомое число как x.
Из условия сказано, что 30% от одной трети искомого числа равно этому же числу но в другой пропорции: 42% от этого числа равны 3,36.
Проценты запишем так, чтобы упростить арифметику в дальнейшем: 30%=0,3; 42%=0,42.В левой части уравнения получаем такую запись, если 30% от 1/3 искомого числа:
0,3*\frac{1}{3}*x=0,3*\frac{x}{3};\\
Чтобы найти исходное число по процентам нужно процентное число (То есть наше число 3,36) поделить на проценты (На 42%). Получим число:
3,36/0,42=8.
Тогда теперь получим уравнение:
0,3*\frac{x}{3}=8;\\
0,3*x=24;\\
x=\frac{24}{0,3};\\
x=80;
ответ: Искомое число равно 80.
4,4(43 оценок)
Ответ:
Решаем через уравнение.
Обозначим искомое число как x.
Из условия сказано, что 30% от одной трети искомого числа равно этому же числу но в другой пропорции: 42% от этого числа равны 3,36.
Проценты запишем так, чтобы упростить арифметику в дальнейшем: 30%=0,3; 42%=0,42.В левой части уравнения получаем такую запись, если 30% от 1/3 искомого числа:
0,3*\frac{1}{3}*x=0,3*\frac{x}{3};\\
Чтобы найти исходное число по процентам нужно процентное число (То есть наше число 3,36) поделить на проценты (На 42%). Получим число:
3,36/0,42=8.
Тогда теперь получим уравнение:
0,3*\frac{x}{3}=8;\\
0,3*x=24;\\
x=\frac{24}{0,3};\\
x=80;
ответ: Искомое число равно 80.
4,4(68 оценок)
Это интересно:
Новые ответы от MOGZ: Математика
logo
Вход Регистрация
Что ты хочешь узнать?
Спроси Mozg
Открыть лучший ответ