М
Молодежь
К
Компьютеры-и-электроника
Д
Дом-и-сад
С
Стиль-и-уход-за-собой
П
Праздники-и-традиции
Т
Транспорт
П
Путешествия
С
Семейная-жизнь
Ф
Философия-и-религия
Б
Без категории
М
Мир-работы
Х
Хобби-и-рукоделие
И
Искусство-и-развлечения
В
Взаимоотношения
З
Здоровье
К
Кулинария-и-гостеприимство
Ф
Финансы-и-бизнес
П
Питомцы-и-животные
О
Образование
О
Образование-и-коммуникации
kamilla126
kamilla126
14.08.2021 03:25 •  Математика

Решите уравнения:
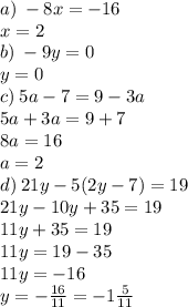
а) -8x = -16
б) -9y = 0
в) 5a - 7 = 9 - 3a
г) 21y - 5 (2y - 7) = 19

👇
Ответ:
AmitJK
AmitJK
14.08.2021

A) -8x = -16 (: (-8) )

x = 2

Б) -9y = 0 (: (-9) )

y = 0

В) 5a - 7 = 9-3a

8a=16 (: 8)

a = 2

Г) 21y - 5(2y-7)=19

21y-10y+35=19

11y=-16 (: 11)

y = -16/11 = -1 5/11

4,5(97 оценок)
Ответ:
Ludo4ka123
Ludo4ka123
14.08.2021

a) \: - 8x = - 16 \\ x = 2 \\ b) \: - 9y = 0 \\ y = 0 \\ c) \: 5a - 7 = 9 - 3a \\ 5a + 3a = 9 + 7 \\ 8a = 16 \\ a = 2 \\ d) \: 21y - 5(2y - 7) = 19 \\ 21y - 10y + 35 = 19 \\ 11y + 35 = 19 \\ 11y = 19 - 35 \\ 11y = - 16 \\ y = - \frac{16}{11 } = - 1 \frac{5}{11}

4,5(87 оценок)
Открыть все ответы
Ответ:
plsplizovich
plsplizovich
14.08.2021
1) Может, например,пусть у 5 учащихся день рождения в один и тот же день А , у шестого в (А+а) день, у седьмого в (А-а)день⇒имеем ровно 10 равных "расстояний" а, где a∈N, 0< a< 366/2=183, a≠122 , т. к. для високосного года(366 дней) при а=122 будет "расстояние" между шестым и седьмым одиннадцатым, равным а.Существуют и другие расстановки.
2) Если нет совпадающих дат рождения, то год должен быть разбит на 10 равных отрезков - "расстояний" (1,2), (2,3)... (9,10), (10,1), но ни 365, ни 366 не кратно 10⇒ Нет, не может
3) В високосный год 366/3=122, т е , если у 6 учащихся день рождения в один день А, у второй шестерки в один день (А+122), у третьей шестерки в один день (А-122), то имеем для каждой пары шестерок (1,2); (2,3); (3,1) 6*6=36 "расстояний" 122 дня, всего 36*3=108 равных "расстояний", у оставшихся 2 учащихся  могут быть любые другие месяцы дней рождений,а "расстояние" между ними может быть 122, т е итого 108+1=109. ответ: 109 "расстояний" в 122 дня- наибольшее число, год високосный
4,5(88 оценок)
Ответ:
dolback
dolback
14.08.2021
1) Может, например,пусть у 5 учащихся день рождения в один и тот же день А , у шестого в (А+а) день, у седьмого в (А-а)день⇒имеем ровно 10 равных "расстояний" а, где a∈N, 0< a< 366/2=183, a≠122 , т. к. для високосного года(366 дней) при а=122 будет "расстояние" между шестым и седьмым одиннадцатым, равным а.Существуют и другие расстановки.
2) Если нет совпадающих дат рождения, то год должен быть разбит на 10 равных отрезков - "расстояний" (1,2), (2,3)... (9,10), (10,1), но ни 365, ни 366 не кратно 10⇒ Нет, не может
3) В високосный год 366/3=122, т е , если у 6 учащихся день рождения в один день А, у второй шестерки в один день (А+122), у третьей шестерки в один день (А-122), то имеем для каждой пары шестерок (1,2); (2,3); (3,1) 6*6=36 "расстояний" 122 дня, всего 36*3=108 равных "расстояний", у оставшихся 2 учащихся  могут быть любые другие месяцы дней рождений,а "расстояние" между ними может быть 122, т е итого 108+1=109. ответ: 109 "расстояний" в 122 дня- наибольшее число, год високосный
4,8(11 оценок)
Это интересно:
Новые ответы от MOGZ: Математика
logo
Вход Регистрация
Что ты хочешь узнать?
Спроси Mozg
Открыть лучший ответ