М
Молодежь
К
Компьютеры-и-электроника
Д
Дом-и-сад
С
Стиль-и-уход-за-собой
П
Праздники-и-традиции
Т
Транспорт
П
Путешествия
С
Семейная-жизнь
Ф
Философия-и-религия
Б
Без категории
М
Мир-работы
Х
Хобби-и-рукоделие
И
Искусство-и-развлечения
В
Взаимоотношения
З
Здоровье
К
Кулинария-и-гостеприимство
Ф
Финансы-и-бизнес
П
Питомцы-и-животные
О
Образование
О
Образование-и-коммуникации
akmsulu
akmsulu
24.12.2022 23:55 •  Математика

Разделите . я не врубаюсь решением 23/24 : 12

👇
Ответ:
rumtum
rumtum
24.12.2022
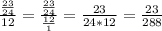
\frac{ \frac{23}{24} }{12} = \frac{ \frac{23}{24} }{ \frac{12}{1} } = \frac{23}{24*12} = \frac{23}{288}
4,5(13 оценок)
Открыть все ответы
Ответ:
21dasha21
21dasha21
24.12.2022

Пошаговое объяснение:

18 - 16x = -30x - 10

30x - 16x = -10 - 18

14x = -28

x = -28 : 14

x = -2

-7x + 2 = 3x - 1

3x + 7x = 2 + 1

10x = 3

x = 3 : 10

x = 0,3

10 - 2x = 12 + x

x + 2x = 10 - 12

3x = -2

x = -2 : 3

x = -2/3

6x - 19 = -2x - 15

6x + 2x = 19 - 15

8x = 4

x = 4 : 8

x = 0,5

0,2x + 3,4 = 0,6x - 2,6

0,6x - 0,2x = 3,4 + 2,6

0,4x = 6

x = 6 : 0,4

x = 15

5/6x + 12 = 1/4x - 2

10x + 144 = 3x - 24

10x - 3x = -24 - 144

7x = -148

x = -168 : 7

x = -24

10x + 7 = 8x - 9

10x - 8x = -9 - 7

2x = -16

x = -16 : 2

x = -8

20 - 3x = 2x - 45

2x + 3x = 45 + 20

5x = 65

x = 65 : 5

x = 13

2,7 + 1,9x = 2x + 1,5

2x - 1,9x = 2,7 - 1,5

0,1x = 1,2

x = 1,2 : 0,1

x = 12

13/18x + 13 = 7/12x + 8

26x + 468 = 21x + 288

26x - 21x = 288 - 468

5x = -180

x = -180 : 5

x = -36

-3(x - 4) = 5x - 12

-3x + 12 = 5x - 12

5x + 3x = 12 + 12

8x = 24

x = 24 : 8

x = 3

(16x - 5) - (3 - 5x) = 6

16x - 5 - 3 + 5x = 6

21x - 8 = 6

21x = 6 + 8

21x = 14

x = 14 : 21

x = 2/3

26 - 4x = 3x -  7(x - 3)

26 - 4x = 3x - 7x + 21

26 - 4x = -4x + 21

-4x + 4x = 21 - 26

0 ≠  -5

нет корней

-2(3 - 4x) + 5(2 - 1,6x) = 4

-6 + 8x + 10 - 8x = 4

-4  ≠  4

нет корней

4,7(7 оценок)
Ответ:
9яна2005
9яна2005
24.12.2022

Пошаговое объяснение:

18 - 16x = -30x - 10

30x - 16x = -10 - 18

14x = -28

x = -28 : 14

x = -2

-7x + 2 = 3x - 1

3x + 7x = 2 + 1

10x = 3

x = 3 : 10

x = 0,3

10 - 2x = 12 + x

x + 2x = 10 - 12

3x = -2

x = -2 : 3

x = -2/3

6x - 19 = -2x - 15

6x + 2x = 19 - 15

8x = 4

x = 4 : 8

x = 0,5

0,2x + 3,4 = 0,6x - 2,6

0,6x - 0,2x = 3,4 + 2,6

0,4x = 6

x = 6 : 0,4

x = 15

5/6x + 12 = 1/4x - 2

10x + 144 = 3x - 24

10x - 3x = -24 - 144

7x = -148

x = -168 : 7

x = -24

10x + 7 = 8x - 9

10x - 8x = -9 - 7

2x = -16

x = -16 : 2

x = -8

20 - 3x = 2x - 45

2x + 3x = 45 + 20

5x = 65

x = 65 : 5

x = 13

2,7 + 1,9x = 2x + 1,5

2x - 1,9x = 2,7 - 1,5

0,1x = 1,2

x = 1,2 : 0,1

x = 12

13/18x + 13 = 7/12x + 8

26x + 468 = 21x + 288

26x - 21x = 288 - 468

5x = -180

x = -180 : 5

x = -36

-3(x - 4) = 5x - 12

-3x + 12 = 5x - 12

5x + 3x = 12 + 12

8x = 24

x = 24 : 8

x = 3

(16x - 5) - (3 - 5x) = 6

16x - 5 - 3 + 5x = 6

21x - 8 = 6

21x = 6 + 8

21x = 14

x = 14 : 21

x = 2/3

26 - 4x = 3x -  7(x - 3)

26 - 4x = 3x - 7x + 21

26 - 4x = -4x + 21

-4x + 4x = 21 - 26

0 ≠  -5

нет корней

-2(3 - 4x) + 5(2 - 1,6x) = 4

-6 + 8x + 10 - 8x = 4

-4  ≠  4

нет корней

4,8(31 оценок)
Это интересно:
Новые ответы от MOGZ: Математика
logo
Вход Регистрация
Что ты хочешь узнать?
Спроси Mozg
Открыть лучший ответ