М
Молодежь
К
Компьютеры-и-электроника
Д
Дом-и-сад
С
Стиль-и-уход-за-собой
П
Праздники-и-традиции
Т
Транспорт
П
Путешествия
С
Семейная-жизнь
Ф
Философия-и-религия
Б
Без категории
М
Мир-работы
Х
Хобби-и-рукоделие
И
Искусство-и-развлечения
В
Взаимоотношения
З
Здоровье
К
Кулинария-и-гостеприимство
Ф
Финансы-и-бизнес
П
Питомцы-и-животные
О
Образование
О
Образование-и-коммуникации
Sofka11123
Sofka11123
02.12.2020 23:10 •  Математика

Решите уравнение: х+5/7=(-3/8)*1целая1/3=

👇
Ответ:
Нафунька
Нафунька
02.12.2020
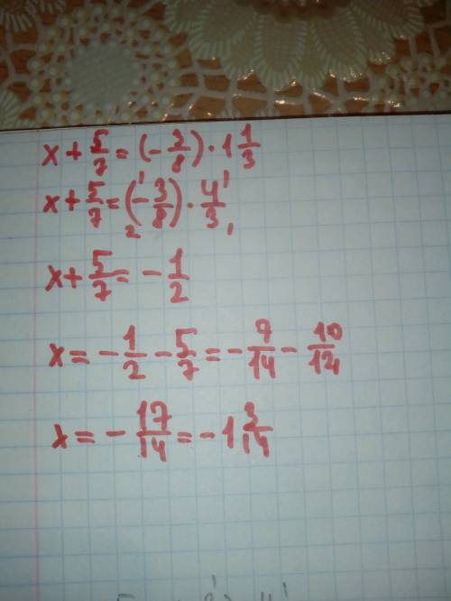
Х+5/7=(-3/8)*1 1/3.
Решите уравнение: х+5/7=(-3/8)*1целая1/3=
4,7(93 оценок)
Открыть все ответы
Ответ:
dirysasha
dirysasha
02.12.2020

В решении.

Пошаговое объяснение:

1) (а - 4)² + (а - 4)(а + 4) + 8а =                              а = -0,3

= а² - 8а + 16 + а² - 16 + 8а =

= 2а² = 2 * (-0,3)² = 2 * 0,09 = 0,18.

2) 3a + 6b = 3(a + 2b);

    2x² - 8x⁵ = 2x²(1 - 4x³);

   1/9 m² - m⁴ = (1/3 m - m²)(1/3m + m²);     разность квадратов

   81 - 18p + p² = (9 - p)² = (9 - p)(9 - p).      квадрат разности

3) (137³ - 37³)/(137² + 137 * 37 + 37)² =

в числителе разность кубов, разложить по формуле:

=(137 - 37)(137² + 137 * 37 + 37²)/(137² + 137 * 37 + 37)² =

большие скобки в числителе и знаменателе сократить:

= (137 - 37) = 100.

4,6(79 оценок)
Ответ:
Рома67463
Рома67463
02.12.2020

Задача 1.

Пусть х - цена яблок, тогда 2х - цена груш. За 5 кг яблок и 3 кг груш заплатили 880 тенге. Уравнение:

5 · х + 3 · 2х = 880

5х + 6х = 880

11х = 880

х = 880 : 11

х = 80 (тг) - цена яблок

2х = 2 · 80 = 160 (тг) - цена груш

ответ: 80 тенге - цена яблок, 160 тенге - цена груш.

Задача 2.

х кг - в первый день

(х - 14) кг - во второй день

2 · (х - 14) = (2х - 28) кг - в третий день

Всего 278 кг сахара. Уравнение:

х + х - 14 + 2х - 28 = 278

4х = 278 + 14 + 28

4х = 320

х = 320 : 4

х = 80

ответ: 80 кг сахара было продано в первый день.

4,4(28 оценок)
Это интересно:
Новые ответы от MOGZ: Математика
logo
Вход Регистрация
Что ты хочешь узнать?
Спроси Mozg
Открыть лучший ответ