М
Молодежь
К
Компьютеры-и-электроника
Д
Дом-и-сад
С
Стиль-и-уход-за-собой
П
Праздники-и-традиции
Т
Транспорт
П
Путешествия
С
Семейная-жизнь
Ф
Философия-и-религия
Б
Без категории
М
Мир-работы
Х
Хобби-и-рукоделие
И
Искусство-и-развлечения
В
Взаимоотношения
З
Здоровье
К
Кулинария-и-гостеприимство
Ф
Финансы-и-бизнес
П
Питомцы-и-животные
О
Образование
О
Образование-и-коммуникации
elizaveta08071999
elizaveta08071999
31.05.2022 18:05 •  Математика

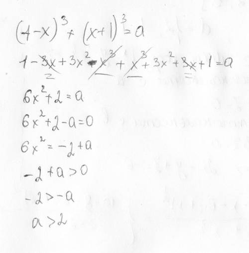
Срешением уравнения (1-х)^3+ (x+1)^3=a

👇
Ответ:
Brainly223331156
Brainly223331156
31.05.2022
Если найти все а, при которых уравнение имеет решение, то:
Срешением уравнения (1-х)^3+ (x+1)^3=a
4,4(3 оценок)
Открыть все ответы
Ответ:
Sawensia
Sawensia
31.05.2022
1)  P - периметр  L- длина прямоугольника   B - ширина прямоугольника                       S - площадь прямоугольника
L = 0,4P        P = (L + B)*2            P = (0,4P + 0.5)*2    P = 0,8P + 1      0,2P = 1
P = 5 см, следовательно  L = 0,4*5 = 2 см
S = L*B = 2*0,5 = 1  кв. см

2)  Х учеников в 3-м классе      0,8Х учеников во 2-м классе
   1,1Х учеников в 1-м классе
  Всего в трёх классах    1,1Х + 0,8Х + Х = 2,9Х

     2,9Х = 58      Х = 20 уч. в 3-м классе
                       0,8Х = 16 уч. во 2-м классе
                       1,1Х = 22  уч. в 1-м классе

3)    в условии какая-то ошибка.
4,5(52 оценок)
Ответ:
1)  P - периметр  L- длина прямоугольника   B - ширина прямоугольника                       S - площадь прямоугольника
L = 0,4P        P = (L + B)*2            P = (0,4P + 0.5)*2    P = 0,8P + 1      0,2P = 1
P = 5 см, следовательно  L = 0,4*5 = 2 см
S = L*B = 2*0,5 = 1  кв. см

2)  Х учеников в 3-м классе      0,8Х учеников во 2-м классе
   1,1Х учеников в 1-м классе
  Всего в трёх классах    1,1Х + 0,8Х + Х = 2,9Х

     2,9Х = 58      Х = 20 уч. в 3-м классе
                       0,8Х = 16 уч. во 2-м классе
                       1,1Х = 22  уч. в 1-м классе

3)    в условии какая-то ошибка.
4,7(60 оценок)
Это интересно:
Новые ответы от MOGZ: Математика
logo
Вход Регистрация
Что ты хочешь узнать?
Спроси Mozg
Открыть лучший ответ