М
Молодежь
К
Компьютеры-и-электроника
Д
Дом-и-сад
С
Стиль-и-уход-за-собой
П
Праздники-и-традиции
Т
Транспорт
П
Путешествия
С
Семейная-жизнь
Ф
Философия-и-религия
Б
Без категории
М
Мир-работы
Х
Хобби-и-рукоделие
И
Искусство-и-развлечения
В
Взаимоотношения
З
Здоровье
К
Кулинария-и-гостеприимство
Ф
Финансы-и-бизнес
П
Питомцы-и-животные
О
Образование
О
Образование-и-коммуникации
Ali8b
Ali8b
10.01.2023 09:55 •  Математика

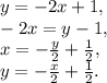
Найдите функцию, обратную функции y=-2x+1; укажите ее область определения и множество значений.

👇
Ответ:
CawaVlasov
CawaVlasov
10.01.2023
y=-2x+1, \\ -2x=y-1, \\ x=-\frac{y}{2}+\frac{1}{2}, \\ y=-\frac{x}{2}+\frac{1}{2}.
4,4(21 оценок)
Открыть все ответы
Ответ:
stasiko1
stasiko1
10.01.2023
1) Чем суммы похожи? Чем различаются? 7 км 86 м + 2 км 59 м
7 м 86 см + 2 м 59 см
2) Найди значения сумм и сравни их между собой. Почему при выполнении действий с одинаковыми числами получились разные результаты?
3) Подумай, какие единицы измерения массы нужно использовать, чтобы сумма
7 ... 86... + 2... 59...
дала числовой результат, равный значению первой суммы из пункта 1. Какие единицы измерения массы позволят получить результат, равный результату второй суммы?
4) Запиши три суммы, похожие на первую из данных в пункте 1, и столько же - на вторую.

ответ

7 км 86 м+2 км 59 м= 9 км 145 м=
2) 7 м 86 см+2 м 59см= 9 м 145см.=10м 45 см.
1) Суммы похожи числовыми значениями, но различаются мерами длин.

2) Получились разные результаты, так как км=1000 м, а м=100см.

3) 1 кг=100 г, следовательно, 7 кг 86 г+2 кг 59 г= 9 кг 145 г.
1 центнер=100 кг, поэтому 1 ц 86 кг+2 ц 59 кг= 10 ц 45 кг.

4)a) 1 тонна = 1000 кг. 7 тонн 86 кг+2 тонны 59 кг= 9 тонн 145 кг.
1 м=1000 мм. 7 м 86 мм+2 м 59 мм= 9 м 145 мм.
1 г=1000 мг. 7 г 86 мг+2 г 59 мг=9 г 145 мг.

b) 1дм=100мм. 7 дм 86 см+ 2 дм 59 мм= 10 дм 45 мм.
1 кв.метр=100 кв.дм. 7кв.м 86кв.дм+2кв.м 59 кв.дм= 10 кв.м 45 кв.дм.
1 кв.дм=100 кв.см. 7кв.дм 86 кв. см+2 кв.дм 59 кв.см= 10 кв.дм 45 кв. см.
4,6(80 оценок)
Ответ:
smchnc2004
smchnc2004
10.01.2023

1 - наберём полный 8-ми литровый бидон и перельём 3л в 3-х литровый, и тут же выльем из 3-х литрового на землю

В результате мы имеем: 5л в 8-ми литровом и пустой 3-х литровый

2 - перельём ещё 3л из 8-ми литрового в 3-х литровый, и тут же выльем из 3-х литрового на землю

В результате мы имеем 2л в 8-ми литровом и пустой 3-х литровый бидон

3 - перельём 2л из  из 8-ми литрового в 3-х литровый бидон

В результате мы имеем пустой 8-литровый бидон и 2л в 3-х литровом бидоне.

4 - Наполним 8-ми литровый бидон и дополним 3-х литровый бидон, добавив в него 1л из 8-ми литрового

В результате в 8-ми литровом останется 7 литров, что и требовалось.

4,5(48 оценок)
Это интересно:
Новые ответы от MOGZ: Математика
logo
Вход Регистрация
Что ты хочешь узнать?
Спроси Mozg
Открыть лучший ответ