М
Молодежь
К
Компьютеры-и-электроника
Д
Дом-и-сад
С
Стиль-и-уход-за-собой
П
Праздники-и-традиции
Т
Транспорт
П
Путешествия
С
Семейная-жизнь
Ф
Философия-и-религия
Б
Без категории
М
Мир-работы
Х
Хобби-и-рукоделие
И
Искусство-и-развлечения
В
Взаимоотношения
З
Здоровье
К
Кулинария-и-гостеприимство
Ф
Финансы-и-бизнес
П
Питомцы-и-животные
О
Образование
О
Образование-и-коммуникации
кристина2162
кристина2162
12.07.2020 07:23 •  Математика

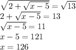
Под корнем 2+ под корнем x-5=под корнем 13-x

👇
Ответ:
Yana12ost
Yana12ost
12.07.2020
\sqrt{2+\sqrt{x-5}}=\sqrt{13}\\2+\sqrt{x-5}=13\\\sqrt{x-5}=11\\x-5=121\\x=126
4,8(25 оценок)
Открыть все ответы
Ответ:
NomaMe927
NomaMe927
12.07.2020
Река Печора берет начало на Северном Урале между горными хребтами Енгиле-Сяхль и Печор-Я-Тальях-Сяхль. 

Координаты истока 62°15' с. ш. и 59°20' в. д., абс. отметка 676 м над уровнем Баренцева моря. 

Впадает Печора в Печорскую губу( устье) под 68°20' с. ш. 

Направление течения Печоры неоднократно меняется. В верховье она течет на запад, потом отклоняется к юго-западу. После впадения р. Волосницы Печора поворачивает на север. Сохраняя в дальнейшем это общее направление, Печора образует два крупных колена - на 698 и 432 км от устья, поворачивая на юго-запад, а затем - прямо на запад. В районе с. Усть-Цильмы Печора вновь устремляется к северу и течет в этом направлении до впадения в Печорскую губу.
4,7(68 оценок)
Ответ:
Nataliya24111969
Nataliya24111969
12.07.2020
Река Печора берет начало на Северном Урале между горными хребтами Енгиле-Сяхль и Печор-Я-Тальях-Сяхль. 

Координаты истока 62°15' с. ш. и 59°20' в. д., абс. отметка 676 м над уровнем Баренцева моря. 

Впадает Печора в Печорскую губу( устье) под 68°20' с. ш. 

Направление течения Печоры неоднократно меняется. В верховье она течет на запад, потом отклоняется к юго-западу. После впадения р. Волосницы Печора поворачивает на север. Сохраняя в дальнейшем это общее направление, Печора образует два крупных колена - на 698 и 432 км от устья, поворачивая на юго-запад, а затем - прямо на запад. В районе с. Усть-Цильмы Печора вновь устремляется к северу и течет в этом направлении до впадения в Печорскую губу.
4,4(39 оценок)
Это интересно:
Новые ответы от MOGZ: Математика
Полный доступ к MOGZ
Живи умнее Безлимитный доступ к MOGZ Оформи подписку
logo
Вход Регистрация
Что ты хочешь узнать?
Спроси Mozg
Открыть лучший ответ