М
Молодежь
К
Компьютеры-и-электроника
Д
Дом-и-сад
С
Стиль-и-уход-за-собой
П
Праздники-и-традиции
Т
Транспорт
П
Путешествия
С
Семейная-жизнь
Ф
Философия-и-религия
Б
Без категории
М
Мир-работы
Х
Хобби-и-рукоделие
И
Искусство-и-развлечения
В
Взаимоотношения
З
Здоровье
К
Кулинария-и-гостеприимство
Ф
Финансы-и-бизнес
П
Питомцы-и-животные
О
Образование
О
Образование-и-коммуникации
Айкаса
Айкаса
13.12.2021 06:16 •  Математика

5(3х-5)-3 (6х-3)=5х-4 решите уравнение

👇
Ответ:
7fan7
7fan7
13.12.2021
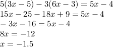
5(3x-5)-3(6x-3) = 5x-4\\
15x-25-18x+9 = 5x-4\\
-3x-16 = 5x-4\\
8x = -12\\
x = -1.5
4,4(41 оценок)
Открыть все ответы
Ответ:
ponchikelo
ponchikelo
13.12.2021
Расстояние от метеорологической станции до избушки лесника- 18 км, Лыжник этого расстояния. двигаясь со скоростью 200 м/мин. Сколько часов шёл лыжник ? Сможет ли он пройти оставшееся расстояние за полчаса если он будет двигаться с токой же скоростью18*2/3=12км лыжник12км=12000м12000/200=60мин=1 час12/1=12км/ч - скорость(18-12)/12=0,5 часа - сможет...18*2:3=12 км лыжник 12 км = 12000 м12000:200=60 мин =1ч. - шёл лыжник ответ : лыжник шёл 1 ч. Да , он сможет пройти оставшееся расстояние за полчаса если он будет двигаться с такой же скоростью.
4,4(40 оценок)
Ответ:
GlaydoN
GlaydoN
13.12.2021
Причины организации Оренбургской экспедиции. Русско-казахские взаимоотношения до первой четверти XVIII в. Положение башкир к началу XVIII в. Оренбургская экспедиция под руководством В.И. Татищева. И.И. Неплюев на посту командира Оренбургской экспедиции. Одним из оказавших наиболее значительное влияние на дальнейшую историю России моментов в этом процессе явилось освоение и закрепление Оренбургского края. Целью данной курсовой работы является выявление причин и предпосылок организации Оренбургской экспедиции и описание ее деятельности.

Основную задачу мы видим в том, чтобы исследовать процесс становления городов на территории Башкирии в XVIII в. на примере работы Оренбургской экспедиции и проследить изменение целей и задач, стоявших перед Оренбургской экспедицией комиссией на разных этапах ее деятельности.

Важное значение для изучения данной темы имеет определение основных этапов историографии и проблем, вокруг которых были сконцентрированы усилия исследователей предшествующих поколений. Первый этап в историографии городов Башкирии, а в частности Оренбурга, был связан с организованным Петром I географическим описанием и картографированием территории Российской империи. В 1715 году посылаются военно-географические экспедиции для составления карты Каспийского моря, а в 1717 г. была начата работа по составлению географических карт различных областей страны Буканова Р.Г. Города-крепости юго-востока России в XVIII веке. Уфа, 1997.С.10. Законченные карты посылались в Сенат и поступали в распоряжение обер-секретаря Сената И.К. Кирилова, который с 1734 г. до конца жизни возглавлял Оренбургскую экспедицию, сформированную по его инициативе. И. К. Кирилову были хорошо знакомы статистические, экономические, географические, исторические и другие материалы, которые поступили в Сенат в первой четверти XVIII в. из центральных и местных учреждений.

4,6(42 оценок)
Новые ответы от MOGZ: Математика
logo
Вход Регистрация
Что ты хочешь узнать?
Спроси Mozg
Открыть лучший ответ