М
Молодежь
К
Компьютеры-и-электроника
Д
Дом-и-сад
С
Стиль-и-уход-за-собой
П
Праздники-и-традиции
Т
Транспорт
П
Путешествия
С
Семейная-жизнь
Ф
Философия-и-религия
Б
Без категории
М
Мир-работы
Х
Хобби-и-рукоделие
И
Искусство-и-развлечения
В
Взаимоотношения
З
Здоровье
К
Кулинария-и-гостеприимство
Ф
Финансы-и-бизнес
П
Питомцы-и-животные
О
Образование
О
Образование-и-коммуникации
Каринэль
Каринэль
28.07.2020 17:42 •  Математика

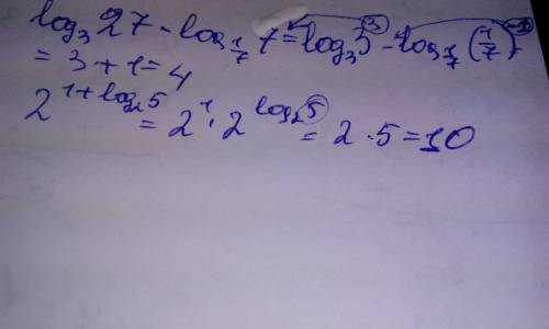
Вычислите (логаритмы) log_3 27 - log_ 1/7 7 и еще 2^1+log_2 5

👇
Ответ:
Tony271
Tony271
28.07.2020
Решение дано на фото.
4,4(40 оценок)
Ответ:
vyaskin2018
vyaskin2018
28.07.2020
В первом будет 4, а во втором приближённое число...
Вычислите (логаритмы) log_3 27 - log_ 1/7 7 и еще 2^1+log_2 5
4,5(58 оценок)
Открыть все ответы
Ответ:
ббэшка
ббэшка
28.07.2020

                                                                                      План

1.Транспорты такие разные. (здесь росказываеться о видах какие они: с колёсами,без колёс и т.д. тут их признак)

2.Время создания транспорта (здесь ты можешь написать что там 1 транспорт был зделан в году,и там например: вот и транспорты с каждым временем улутшались.)

3. .Автомобиль,велосепед и мотоцикол (выбираешь любие три транспорта,потом пишешь про них что ты знаешь,или можешь чтото в интеренете поискать) 

4.Всем нужны транспорты! (здесь ты пишешь как типо призыв,или что типо людям нужны транспорты всех видов..)

Я старалась! рада попочь,эсли чтото не так по уже тебя самой подумать.. 

4,8(28 оценок)
Ответ:
ShamilAshimbaj
ShamilAshimbaj
28.07.2020

                                                                                      План

1.Транспорты такие разные. (здесь росказываеться о видах какие они: с колёсами,без колёс и т.д. тут их признак)

2.Время создания транспорта (здесь ты можешь написать что там 1 транспорт был зделан в году,и там например: вот и транспорты с каждым временем улутшались.)

3. .Автомобиль,велосепед и мотоцикол (выбираешь любие три транспорта,потом пишешь про них что ты знаешь,или можешь чтото в интеренете поискать) 

4.Всем нужны транспорты! (здесь ты пишешь как типо призыв,или что типо людям нужны транспорты всех видов..)

Я старалась! рада попочь,эсли чтото не так по уже тебя самой подумать.. 

4,6(31 оценок)
Это интересно:
Новые ответы от MOGZ: Математика
logo
Вход Регистрация
Что ты хочешь узнать?
Спроси Mozg
Открыть лучший ответ