М
Молодежь
К
Компьютеры-и-электроника
Д
Дом-и-сад
С
Стиль-и-уход-за-собой
П
Праздники-и-традиции
Т
Транспорт
П
Путешествия
С
Семейная-жизнь
Ф
Философия-и-религия
Б
Без категории
М
Мир-работы
Х
Хобби-и-рукоделие
И
Искусство-и-развлечения
В
Взаимоотношения
З
Здоровье
К
Кулинария-и-гостеприимство
Ф
Финансы-и-бизнес
П
Питомцы-и-животные
О
Образование
О
Образование-и-коммуникации
dasha198156
dasha198156
15.04.2020 23:13 •  Математика

Цена электрочайника в магазине ежемесячно уменьшается на одно и то же число процентов от предыдущей цены. определите, на сколько процентов каждый месяц уменьшалась цена электрочайника, если выставленный на продажу за 4500 рублей через два месяца был продан за 3645 рублей?

👇
Ответ:
maksCRAFTer
maksCRAFTer
15.04.2020
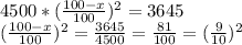
Было 4500 рублей. Например, цена уменьшилась на x%. Тогда новая цена будет равна 4500 * \frac{100-x}{100}. Например, цена уменьшилась на 25%, мы делим нашу сумму на 100 и умножаем на 75, то есть оставляем только 75% от оной. Логика такая. 
Так как всего 2 месяца, то цена на второй месяц составляет 
4500 * (\frac{100-x}{100})^{2} = 3645\\ (\frac{100-x}{100})^{2} = \frac{3645}{4500} =\frac{81}{100} = (\frac{9}{10} )^{2}
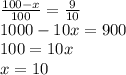
Так как все значения положительны, можно отбросить знак квадрата.
\frac{100-x}{100} = \frac{9}{10}\\1000-10x=900\\100=10x\\x= 10
 
Итого, чайник каждый месяц дешевел на 10%
4,5(21 оценок)
Открыть все ответы
Ответ:
25182830
25182830
15.04.2020

Квадрат - четырехугольник, у которого все стороны равны.

Периметр квадрата:

Р=а+а+а+а= 4×а , где а - сторона квадрата.

Следовательно сторона квадрата равна:

1) 12 : 4 = 3 см.

От одной стороны отрезали полосу шириной в 1 см, значит ширина уменьшилась на 1 см:

2) 3-1= 2 см  

У нас получился прямоугольник с длиной 3 см , шириной 2 см.

Найдем периметр прямоугольника:

3) Р= 3+3+2+2= 2×(3+2)= 10 см.

ответ : периметр прямоугольника 10 см.

Можно проще решить, но объяснить сложнее:

Ширина фигуры изменилась  на  1 см, тогда периметр изменился на:

2*1=2 см

Найдем периметр новой фигуры:

12-2=10 см

Пошаговое объяснение:

Но не знаю, на сколько это решение понравится преподавателю.

4,8(60 оценок)
Ответ:
darinashagaeva
darinashagaeva
15.04.2020

ответ:783 т 1 ц 25 кг

Объяснение:

900 т - 3 т 20 ц : 8 ц * (66 500 кг : 19 + 15 т 2 ц) = 783 т 1 ц 25 кг

1) 66 500 кг : 19 = ​3500 кг

2) 3500 кг + 15 т 2 ц = 3500 кг + (15 * 1000 + 2 * 100) кг =

= 3500 кг + (15 000 + 200) кг = 3500 кг + 15 200 кг = 18 700 кг

3) 3 т 20 ц : 8 ц = (3 * 10 + 20) ц : 8 ц = (30 + 20) ц : 8 ц =

= 50 ц : 8 ц = 6,25

4) 6,25 * 18 700 кг = 116 875 кг

5) 900 т - 116 875 кг = (900 * 1000) кг - 116 875 кг =

= 900 000 кг - 116 875 кг = 783 125 кг = 783 т 1 ц 25 кг

1 т = 10 ц = 1000 кг

1 ц = 100 кг

Пошаговое объяснение:можно лучший ответ

4,5(31 оценок)
Новые ответы от MOGZ: Математика
logo
Вход Регистрация
Что ты хочешь узнать?
Спроси Mozg
Открыть лучший ответ