М
Молодежь
К
Компьютеры-и-электроника
Д
Дом-и-сад
С
Стиль-и-уход-за-собой
П
Праздники-и-традиции
Т
Транспорт
П
Путешествия
С
Семейная-жизнь
Ф
Философия-и-религия
Б
Без категории
М
Мир-работы
Х
Хобби-и-рукоделие
И
Искусство-и-развлечения
В
Взаимоотношения
З
Здоровье
К
Кулинария-и-гостеприимство
Ф
Финансы-и-бизнес
П
Питомцы-и-животные
О
Образование
О
Образование-и-коммуникации
mintgirl
mintgirl
22.09.2020 20:30 •  Математика

Y'sinx-y cosx=0 если y=1,при x=пи/2 решить нужно)

👇
Ответ:
sdtyvbv
sdtyvbv
22.09.2020
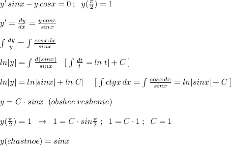
y'\, sinx -y\, cosx=0\; ;\; \; y(\frac{\pi}{2})=1\\\\y'=\frac{dy}{dx}=\frac{y\, cosx}{sinx}\\\\\int \frac{dy}{y} = \int \frac{cosx\, dx}{sinx} \\\\ln|y|=\int \frac{d(sinx)}{sinx} \; \; \; [\; \int \frac{dt}{t}=ln|t|+C\; ]\\\\ln|y|=ln|sinx|+ln|C|\quad \; [\; \int ctgx\, dx=\int \frac{cosx\, dx}{sinx}=ln|sinx|+C\; ]\\\\y=C\cdot sinx\; \; (obshee\; reshenie)\\\\y( \frac{\pi}{2} )=1\; \; \to \; \; 1=C\cdot sin\frac{\pi}{2}\; ;\; \; 1=C\cdot 1\; ;\; \; C=1\\\\y(chastnoe)=sinx
4,5(31 оценок)
Открыть все ответы
Ответ:
Artemhhh
Artemhhh
22.09.2020
́да — лиро-эпическое произведение, то есть рассказ, изложенный в поэтической форме, , мифического или героического характера. сюжет обычно заимствуется из фольклора. часто кладутся на музыку. в очередной раз в городе что-то бабахнуло, и, как и многим другим жителям, на ум практически сразу и бессознательно пришли строчки «…а город подумал: ученья » даже многие мои сверстники, знающие, что это слова «какой-то песни» , затрудняются правильно озвучить её название, тем более, рассказать появления широко и часто цитируемой строки из этого произведения. вместе с тем, представители старшего поколения знают точно, что песня "огромное небо", о которой пойдёт речь сегодня, основана на реальных событиях, а именно героическом поступке двух советских лётчиков
4,5(23 оценок)
Ответ:
Djanik228
Djanik228
22.09.2020

после того как римские войска в начале v в. были выведены из британии, населённой бриттами (кельтами), на её территорию стали массами вторгаться германские племена саксов, и ютов, жившие между эльбой и рейном (область расселения саксов) и на ютландском полуострове (область расселения и ютов). -саксонское завоевание британии продолжалось свыше 150 лет и закончилось в основном в начале vii в. столь длительный характер завоевания объясняется прежде всего тем, что кельтское население британии оказало -саксонским завоевателям упорное сопротивление.

в процессе завоевания -саксы истребили большое количество кельтского населения. часть кельтов была вытеснена из британии на континент (где они поселились на полуострове арморика в галлии, получившем в дальнейшем название бретани), а часть превращена в рабов и зависимых людей, обязанных платить завоевателям дань.

независимость отстояли только горные кельтские области на западе британии (уэльс и корнуолл) и на севере (шотландия), где продолжали существовать племенные объединения, превратившиеся впоследствии в самостоятельные кельтские княжества и королевства. полную независимость от -саксов (вплоть до второй половины xii в.) сохранила и населённая кельтами ирландия.

на территории британии, завоёванной -саксами (она и стала впоследствии собственно ) примерно к концу vi и началу vii в., образовалось несколько -саксонских королевств. это были: кент — на крайнем юго-востоке, основанный ютами, уэссекс, сессекс и эссекс — в южной и юго-восточной части острова, основанные саксами, восточная — на востоке, нортумбрия — на севере и мерсия — в центре страны, основанные главным образом .

все эти королевства являлись раннефеодальными государствами, подобными тем, которые были образованы на континенте европы франками, , вестготами и другими германскими племенами.

4,8(99 оценок)
Это интересно:
Новые ответы от MOGZ: Математика
logo
Вход Регистрация
Что ты хочешь узнать?
Спроси Mozg
Открыть лучший ответ