М
Молодежь
К
Компьютеры-и-электроника
Д
Дом-и-сад
С
Стиль-и-уход-за-собой
П
Праздники-и-традиции
Т
Транспорт
П
Путешествия
С
Семейная-жизнь
Ф
Философия-и-религия
Б
Без категории
М
Мир-работы
Х
Хобби-и-рукоделие
И
Искусство-и-развлечения
В
Взаимоотношения
З
Здоровье
К
Кулинария-и-гостеприимство
Ф
Финансы-и-бизнес
П
Питомцы-и-животные
О
Образование
О
Образование-и-коммуникации
Kenny22332
Kenny22332
17.09.2021 21:59 •  Математика

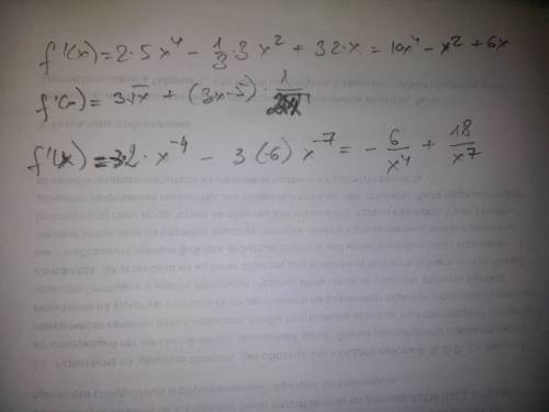
Найти производную функций : 1) f(x) = 2x⁵- x³/3 + 3x² - 4 2) f(x) = (3x-5)√x 3) f(x) = 2/x³ - 3/x⁶

👇
Ответ:
mashakovalak234
mashakovalak234
17.09.2021
Я думаю так и должно быть 

Найти производную функций : 1) f(x) = 2x⁵- x³/3 + 3x² - 4 2) f(x) = (3x-5)√x 3) f(x) = 2/x³ - 3/x⁶
4,4(100 оценок)
Открыть все ответы
Ответ:
nikky228like
nikky228like
17.09.2021

I love winter holidays. This year they started on the 28th of December and finished on the 12th of January. Those two weeks flew by too fast! I helped my parents to prepare for the New Year celebration - we decorated our New Year tree and cleaned up our flat. On December 31st and January 1st we had a great time celebrating. The next week was fun for me too. I spent a lot of time with my friends - we played hockey, went skating and made snowmen. We went to the cinema to watch a few films together. On January 6th my parents and I went to our grandparents' home in the country to celebrate Christmas together. We spent a few days there and I joined some local  children to go carol singing round the village houses. After that we went back to town where I enjoyed my holidays playing computer games, watching films and hanging out with my friends.

___

Я люблю зимние каникулы. В этом году они начались 28 декабря и закончились 12 января. Эти две недели пролетели слишком быстро! Я родителям подготовиться к новогоднему празднику - мы украсили нашу новогоднюю елку и убрали квартиру. 31 декабря и 1 января мы прекрасно провели время, отмечая праздник. Следующая неделя была для меня веселой. Я провел много времени с друзьями — мы играли в хоккей, катались на коньках и лепили снеговиков. Мы вместе ходили в кино несколько раз. 6 января я с родителями поехал к бабушке и дедушке, чтобы вместе отметить Рождество. Мы провели там несколько дней, и я вместе с местными ребятами ходил колядовать по деревне. После этого мы вернулись в город, где я отдыхал, играл в компьютерные игры, смотрел фильмы и гулял с друзьями.

4,8(67 оценок)
Ответ:
dfgds1
dfgds1
17.09.2021
Проведи два отрезка эти два отрезка должны  пересекаться   между собой, в середине  треугольника  их   точка  пересечения ;   и   также  они  пересекаясь   между собой пересекают, каждая, две стороны, один и тот же угол.360 сумма углов  четырехугольника   равна 360 градусов в любом случае, если мне память не изменяет, то есть совершенно не зависит от типа  четырехугольника , поскольку даже не выпуклый  четырехугольник   можно поделить на два  треугольника. ответ могут.
4,6(52 оценок)
Это интересно:
logo
Вход Регистрация
Что ты хочешь узнать?
Спроси Mozg
Открыть лучший ответ