М
Молодежь
К
Компьютеры-и-электроника
Д
Дом-и-сад
С
Стиль-и-уход-за-собой
П
Праздники-и-традиции
Т
Транспорт
П
Путешествия
С
Семейная-жизнь
Ф
Философия-и-религия
Б
Без категории
М
Мир-работы
Х
Хобби-и-рукоделие
И
Искусство-и-развлечения
В
Взаимоотношения
З
Здоровье
К
Кулинария-и-гостеприимство
Ф
Финансы-и-бизнес
П
Питомцы-и-животные
О
Образование
О
Образование-и-коммуникации
dejavu1337
dejavu1337
19.12.2020 14:27 •  Математика

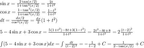
Посчитать неопределенный интеграл: ∫, причем используя следующее условие для решения: (t=tg)

👇
Ответ:
kazekb
kazekb
19.12.2020
\sin x = \frac{2\tan (x/2)}{1+\tan^2 (x/2)} = \frac{2t}{1+t^2}\\
\cos x = \frac{1-\tan^2 (x/2)}{1+\tan^2 (x/2)} = \frac{1-t^2}{1+t^2}\\
dt = \frac{dx/2}{\cos^2(x/2)} = \frac{dx}{2}(1+t^2)\\\\
5-4\sin x+3\cos x = \frac{5(1+t^2)-8t+3(1-t^2)}{1+t^2} = \frac{2t^2-8t+8}{1+t^2} = 2\frac{(t-2)^2}{1+t^2}\\\\
\int(5-4\sin x+3\cos x)dx = \int \frac{dt}{(t-2)^2} = -\frac{1}{t-2} +C = \frac{1}{2-\tan(x/2)}+C
4,6(1 оценок)
Открыть все ответы
Ответ:
yuliyasecheva
yuliyasecheva
19.12.2020
8*36=288 кадров в 8 пленках                                                                                     56-17=39 кадров на дядю Федю                                                                                56:8=7 кадров на почтальона Печкина                                                                     56+7=63 кадра на зайцев                                                                                             56+39+7+63=165 кадров истратил                                                                           288-165=123 кадров осталось                                                                                    165-123=42 (на 42 кадра  истратил больше,чем осталось)
4,6(78 оценок)
Ответ:
0DinaLime0
0DinaLime0
19.12.2020
Лихоносов - талантливый писатель, который в своих произведениях описывает повседневную жизнь простого трудового русского народа. Его главные персонажи в жизни руководствуются более сердцем, чем рассудком. В своих произведениях выступает против безчеловечности и бездуховности. Главный роман всей его жизни, на которые он потратил 10 лет своей жизни, это "Ненаписанные воспоминания. Наш маленький Париж.". окончил писать его Лихоносов в 1986 году. В этом произведении рассказывается о судьбе русского казачества.
4,8(95 оценок)
Это интересно:
Новые ответы от MOGZ: Математика
logo
Вход Регистрация
Что ты хочешь узнать?
Спроси Mozg
Открыть лучший ответ