М
Молодежь
К
Компьютеры-и-электроника
Д
Дом-и-сад
С
Стиль-и-уход-за-собой
П
Праздники-и-традиции
Т
Транспорт
П
Путешествия
С
Семейная-жизнь
Ф
Философия-и-религия
Б
Без категории
М
Мир-работы
Х
Хобби-и-рукоделие
И
Искусство-и-развлечения
В
Взаимоотношения
З
Здоровье
К
Кулинария-и-гостеприимство
Ф
Финансы-и-бизнес
П
Питомцы-и-животные
О
Образование
О
Образование-и-коммуникации
K1p2r4f4
K1p2r4f4
12.03.2021 23:20 •  Математика

4/11x^2+11=0 обьясните подробно ответ должен быть 5.5 и -5.5

👇
Ответ:
dancecowerbts
dancecowerbts
12.03.2021
Смотри фото...............
4/11x^2+11=0 обьясните подробно ответ должен быть 5.5 и -5.5
4,8(26 оценок)
Ответ:
dashasokolova21
dashasokolova21
12.03.2021
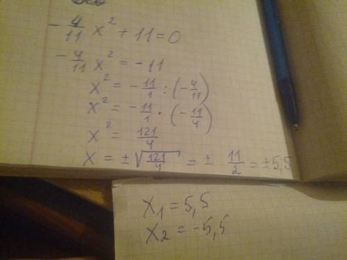
-4/11х^2 + 11 = 0
-4/11х^2 = -11
4/11х^2 = 11
х^2 = 11 : 4/11
х^2 = 121/4
х = 11/2 или -11/2
х = 5,5 или -5,5
4,8(25 оценок)
Открыть все ответы
Ответ:
eandrukova567
eandrukova567
12.03.2021
Мы имеем пять пор, берем одну - 1 месяц нечетный - 15+1=16 дней в этом месяце. 2 месяц - 15 дней ( он четный ), 3 месяц - 15+3=18 дней. Итого: в первой поре: 16+15+18=49 дней. Берем вторую пору - 1 месяц в ней - это четвертый на самом деле - значит 15 дней. Дальше 5 месяц - 15+5=20 дней. 6 месяц - 15 дней. Итого -  вторая пора имеет: 15+20+15=50 дней. Берем 3 пору - 7 месяц - 15+7=22 дня,
8 месяц - 15 дней. 9 месяц - 15+9=24 дня. Итого-3 пора имеет: 22+15+24=61 день в 3 поре. Берем 4 пору: 10 месяц - 15 дней, 11 месяц - 15+11=26 дней. 12 месяц - 15 дней. Итого-4 пора имеет: 15+26+15=56 дней. Берем 5 пору: 13 месяц: 15+13=28 дней. 14 месяц: 15 дней. 15 месяц: 15+15=30 дней Итого-5 пора имеет: 28+15+30=73 дня. Всего: 49+50+61+56+73=289 дней и 15 месяцев
4,5(41 оценок)
Ответ:
Андрей11583
Андрей11583
12.03.2021
На (1;2)   f(x)=2
на (2;3)   f(x)=4
на (3;4)   f(x)=6
на (4;5)   f(x)=8
на (5;6)   f(x)=10
и т. д.
график см. рисунок в приложении.
Обратите внимание, ни крайне левой точки, ни крайне правой точки на ступеньках нет
Если соединить начало координат и левые края ступенек в верхней полуплоскости, получим прямую у=2х.
Но k=2 не является ответом, так как левые края ступенек не являются точками графика, как и правые.
у=2х  и у=0,75 х не удовлетворяют условию. См. рисунок 2.
Сужаем угол.

Рассмотрим прямую, проходящую через точку (0;0) и точку (11;
20)
Эта прямая будет пересекать график в 9 точках
на отрезке, где
f(x)=2
f(x)=4
f(x)=6
f(x)=8
f(x)=10
f(x)=12
f(x)=14
f(x)=16
f(x)=18

В условии был интервал (m;m+1). Потом стал [m;m+1).
Значит к=2 входит в ответ.
Прямая у=0,75х (проходит через (0;0) и (3;4) будет иметь одну точку пересечения.
Прямая у=1,8х (проходящая через точки (0:0)и (9;18) девять.
 При 1,8<k<=2 ,будет более девяти. Это в верхней полуплоскости. В нижней 2<=k<18/8=2,25. Прямая, проходящая через правый край ступеньки f(x)=-18, т.е точку (-8;-18) ответ (1,8;2,25)

Постройте график кусочно-заданной функции y=f(x), которая на каждом промежутке вида (m; m+1) где m-п
Постройте график кусочно-заданной функции y=f(x), которая на каждом промежутке вида (m; m+1) где m-п
4,5(55 оценок)
Это интересно:
Новые ответы от MOGZ: Математика
logo
Вход Регистрация
Что ты хочешь узнать?
Спроси Mozg
Открыть лучший ответ