М
Молодежь
К
Компьютеры-и-электроника
Д
Дом-и-сад
С
Стиль-и-уход-за-собой
П
Праздники-и-традиции
Т
Транспорт
П
Путешествия
С
Семейная-жизнь
Ф
Философия-и-религия
Б
Без категории
М
Мир-работы
Х
Хобби-и-рукоделие
И
Искусство-и-развлечения
В
Взаимоотношения
З
Здоровье
К
Кулинария-и-гостеприимство
Ф
Финансы-и-бизнес
П
Питомцы-и-животные
О
Образование
О
Образование-и-коммуникации
kazD01
kazD01
29.08.2021 18:48 •  Математика

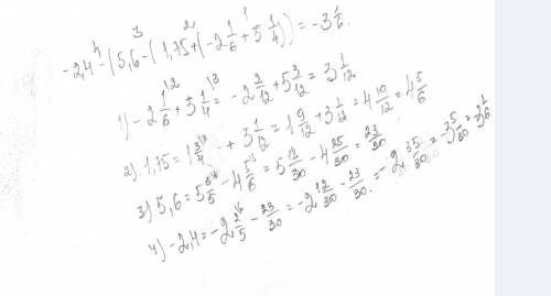
1. раскройте скобки и найдите значение выражения: -2.4-(5.6-(1.75+(-2 1/6 + 5 1/ ответ подробно в действиях. заранее

👇
Ответ:
vikaprostitova
vikaprostitova
29.08.2021
Не за что,удачи в учебе)))
1. раскройте скобки и найдите значение выражения: -2.4-(5.6-(1.75+(-2 1/6 + 5 1/ ответ подробно в де
4,5(89 оценок)
Открыть все ответы
Ответ:
Dashacolod
Dashacolod
29.08.2021

Н. Бурбаки. Основания математики. Логика. Теория множеств // Очерки по истории математики / И. Г. Башмакова (перевод с французского). — М: Издательство иностранной литературы, 1963. — С. 37—53. — 292 с. — (Элементы математики).

Г. Кантор. Труды по теории множеств. — М.: Наука, 1985. — 430 с. — (Классики науки). — 3450 экз..

П. Дж. Коэн. Об основаниях теории множеств (рус.) = P. J. Cohen, Comments on the foundations of set theory, Proc. Sym. Pure Math. 13:1 (1971), 9–15. // Успехи математических наук / Ю. И. Манин (перевод). — М., 1974. — Т. XXIX, вып. 5 (179). — С. 169—176. — ISSN 0042-1316.

К. Куратовский, А. Мостовский. Теория множеств / Перевод с английского М. И. Кратко под редакцией А. Д. Тайманова. — М.: Мир, 1970. — 416 с.

Ф. А. Медведев. Развитие теории множеств в XIX веке. — М.: Наука, 1965. — 232 с. — 2500 экз.

А. Френкель, И. Бар-Хиллел. Основания теории множеств / Перевод с английского Ю. А. Гастева под редакцией А. С. Есенина-Вольпина. — М.: Мир, 1966. — 556 с.

4,8(94 оценок)
Ответ:
nail18121
nail18121
29.08.2021
     Если возраст деда получается перестановкой возраста внука, то их возраст состоит из одних и тех же цифр а и в, 
     Пусть возраст внука выражается числом ав, (НЕ ПРОИЗВЕДЕНИЕМ а*в, но): 10а+в, причем в > а, т.к. дед старше внука (и (а+в)≠0,т.к. тогда бы деда не было).
     Тогда возраст деда число ва, т.е: 10в+а
      Частное от деления возраста на сумму цифр:
- для внука (10а+в)/(а+в)
- для деда (10в+а)/(в+а)
      Разность частных по условию равно разности цифр в возрасте внука:
(10в+а)/(в+а) - (10а+в)/(а+в) = в-а 
(10в+а-10а-в)/(а+в) = в-а
9(в-а)/(а+в) = в-а
а+в = 9
     Произведение частных по условию равно возрасту внука:
[(10а+в)/(а+в)]*[(10в+а)/(в+а)] = 10а+в
[(10а+в)/9]*[(10в+а)/9] =  10а+в ; сократим обе части на 10а+в
(10в+а)/81 = 1
10в+а = 81; это возраст ДЕДА, тогда возраст внука 18
     ответ: деду 81 год, внуку 18 лет.
4,4(87 оценок)
Это интересно:
Новые ответы от MOGZ: Математика
logo
Вход Регистрация
Что ты хочешь узнать?
Спроси Mozg
Открыть лучший ответ