М
Молодежь
К
Компьютеры-и-электроника
Д
Дом-и-сад
С
Стиль-и-уход-за-собой
П
Праздники-и-традиции
Т
Транспорт
П
Путешествия
С
Семейная-жизнь
Ф
Философия-и-религия
Б
Без категории
М
Мир-работы
Х
Хобби-и-рукоделие
И
Искусство-и-развлечения
В
Взаимоотношения
З
Здоровье
К
Кулинария-и-гостеприимство
Ф
Финансы-и-бизнес
П
Питомцы-и-животные
О
Образование
О
Образование-и-коммуникации
wildforme
wildforme
15.04.2020 14:21 •  Математика

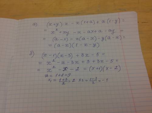
Разложите на множители выражения: а) (х+у)*х - х*(1+а) + а*(1-y) б) (x-1) * (x-3) + 3*x - 5

👇
Ответ:
SawBilly
SawBilly
15.04.2020
Решение смотри на фото
Разложите на множители выражения: а) (х+у)*х - х*(1+а) + а*(1-y) б) (x-1) * (x-3) + 3*x - 5
4,6(77 оценок)
Открыть все ответы
Ответ:
nyamnov
nyamnov
15.04.2020
6 домов по ? кв. в каждом                                                                                  56 коттеджей по 2 кв. в каждом                                                                         всего 760 квартир                                                                                               1) 56*2= 112 (кв) столько всего  в коттеджах                                                    2) 760-112=648 (кв) столько всего в домах                                                        3) 648:6=108 (кв) столько в одном доме                                                          ответ: 108 квартир в одном доме.                                                                                                                                                                                               можно одним действием: (760-56*2):6=108(кв)
4,5(85 оценок)
Ответ:
Мартинюк1
Мартинюк1
15.04.2020
1)) 1 2/5• (-2 1/7)• 1/6• Х= 4 1/2• 17/18• 1 2/34.

(5•1+2)/5• ( -(7•2+1)/7)• 1/6•Х= (2•4+1)/2• 17/18• (34•1+2)/34;

7/5• (-15)/7• 1/6Х= 9/2• 17/18• 36/34;
1/1• (-3)/1• 1/6х= 1/2• 17/2• 36/34;
(-3/1)•1/6х= 1/1• 1/2• 18/17;
(-3/1)• 1/6х= 1/1• 1/1• 9/17;
1/6х= 9/17: (-3/1)
1/6х=9/17• (-1/3)
1/6х= 3/17• (-1/1)= (-3/17)
Х= (-3/17): 1/6
Х= (-3/17)• 6/1

Х= (-18/17)= -1 1/17.
Проверка
1 2/5• (-2 1/7)• 1/6• Х= 4 1/2• 17/18• 1 2/34.
7/5• (-15/7)• (1/6• (-1 1/17))= 9/2• 17/18• 36/34;
(-3/1)• (1/6• (-18/17))= 1/1• 1/1•9/17
(-3/1)• (1/1• -3/17)= 9/17.
9/17=9/17.

2)) 14 2/5 • (-19/24)• 15/38: Х= 2 2/31• 12 3/31 • 12 2/5• 15/32

(5•14+2)/5• (-19/24)• 15/38: Х= (31•2+2)/31• (31•12+3)/31• (5•12+2)/5• 15/32;
72/5• (-19/24)• 15/38: Х=64/31• 375/31• 62/5• 15/32;
15/38:Х= 64/31• 75/1• 2/1• 15/32: 72/5: (-19/24)
15/38:Х= 64/31• 150• 15/32• 5/72• (-24/19)
15/38:Х= 150• 2/31• 15/1• 5/3• (-1/19)
15/38:Х= 300/31• 5/1• 5/1• (-1/19)
15/38:Х= (-7500/589)
15/38: (-7500/589)=Х
Х=15/38• (-589/7500)
Х=(1•(-589))/(38•500)
Х=(-589)/19000

Х=(-31/1000).
Проверка.
14 2/5 • (-19/24)• 15/38: Х= 2 2/31• 12 3/31 • 12 2/5• 15/32
72/5• (-19/24)• 15/38: (-31/1000)=64/31• 375/31• 62/5• 15/32
3/5• (-19/1)• 15/38• (-1000/31)= 64/31• 75/1• 2/1• 15/32
3/1• (-1/1)• 3/2• (-1000/31)= 2/31• 150• 15/1
(-3)• 3/1• (-500/31)= 4500/31
4500/31=4500/31
145 5/31= 145 5/31.
4,4(94 оценок)
Новые ответы от MOGZ: Математика
logo
Вход Регистрация
Что ты хочешь узнать?
Спроси Mozg
Открыть лучший ответ