М
Молодежь
К
Компьютеры-и-электроника
Д
Дом-и-сад
С
Стиль-и-уход-за-собой
П
Праздники-и-традиции
Т
Транспорт
П
Путешествия
С
Семейная-жизнь
Ф
Философия-и-религия
Б
Без категории
М
Мир-работы
Х
Хобби-и-рукоделие
И
Искусство-и-развлечения
В
Взаимоотношения
З
Здоровье
К
Кулинария-и-гостеприимство
Ф
Финансы-и-бизнес
П
Питомцы-и-животные
О
Образование
О
Образование-и-коммуникации
даша20088
даша20088
17.10.2020 14:52 •  Математика

Решите : если определённое число разделить на 12 , то частное , делимое, делитель , сложенные вместе в результате дадут 64. что это за число?

👇
Ответ:
green151
green151
17.10.2020
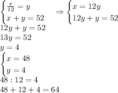
Делитель равен 12, значит, делимое и частное в сумме дают 64-12 = 52.
Пусть делимое x, частное y. По условию:
\begin{cases}\frac{x}{12}=y\\x+y=52\end{cases}\Rightarrow\begin{cases}x=12y\\12y+y=52\end{cases}\\12y+y=52\\13y=52\\y=4\\\begin{cases}x=48\\y=4\end{cases}\\48:12=4\\48+12+4=64

Решите : если определённое число разделить на 12 , то частное , делимое, делитель , сложенные вместе
4,5(20 оценок)
Открыть все ответы
Ответ:
Lesya1704
Lesya1704
17.10.2020
Натуральные числа - числа, используемые при пересчете предметов: один, два три и так далее. Обозначается множество натуральных чисел N.
Оно бесконечно. 

Целые числа: если мы возьмем множество N  натуральных чисел и к каждому элементу - натуральному числу, подставим минус, получившееся множество в совокупности с натуральными числа И НУЛЕМ даст множество ЦЕЛЫХ ЧИСЕЛ. Обозначается оно Z.

Если мы рассмотрим дробь, в которой числителем будет Целое число, а знаменателем - Натуральное, то это и будет РАЦИОНАЛЬНОЕ число.
А в целом, Множество дробей вида целое/натуральное дает множество рациональных чисел. -3/5, например или 10/11.
4,6(69 оценок)
Ответ:
Бако777
Бако777
17.10.2020
Пусть х собственная скорость теплохода.(х+2,4) - скорость теплохода по течению(х-2,4) - скорость теплохода против теченияПуть равен скорость* на время.Время против теч 1ч 48мин=1,8 часа.Время по теч=1ч 48мин-18=1ч30мин=1,5 часа(х-2,4)1,8=(х+2,4)1,51,8х-4,32=1,5х+3,61,8х-1,5х=4,32+3,60,3х=7,92х=7,92/0,3=26,4км в час собственная скорость теплохода..1ч48мин=1,8ч1ч48мин-18мин=1ч30мин=1,5чх - собственная скорость теплохода1,8(х-2,4)=1,5(х+2,4)1,8х-4,32=1,5х+3,61,8х-1,5х=3,6+4,320,3х=7,92х=7,92/0,3х=26,4 км/ч - собственная скорость теплохода
4,7(7 оценок)
Это интересно:
Новые ответы от MOGZ: Математика
logo
Вход Регистрация
Что ты хочешь узнать?
Спроси Mozg
Открыть лучший ответ