М
Молодежь
К
Компьютеры-и-электроника
Д
Дом-и-сад
С
Стиль-и-уход-за-собой
П
Праздники-и-традиции
Т
Транспорт
П
Путешествия
С
Семейная-жизнь
Ф
Философия-и-религия
Б
Без категории
М
Мир-работы
Х
Хобби-и-рукоделие
И
Искусство-и-развлечения
В
Взаимоотношения
З
Здоровье
К
Кулинария-и-гостеприимство
Ф
Финансы-и-бизнес
П
Питомцы-и-животные
О
Образование
О
Образование-и-коммуникации
Dan1yar2255
Dan1yar2255
09.12.2021 17:57 •  Математика

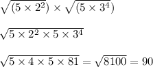
Найдите значение выражения √(5 × 2^2) × √(5 × 3^4)

👇
Ответ:
neleachibzii
neleachibzii
09.12.2021
«90»

Пошаговое объяснение:

\sqrt{(5 \times 2 {}^{2} } ) \times \sqrt{(5 \times 3 {}^{4} } ) \\ \\ \sqrt{5 \times 2 {}^{2} \times 5 \times 3 {}^{4} } \\ \\ \sqrt{5 \times 4 \times 5 \times 81} = \sqrt{8100} = 90

~•~•~•ZLOY_TIGROVSKIY~•~•~•

4,5(87 оценок)
Открыть все ответы
Ответ:
аладик2
аладик2
09.12.2021
Тропический лес очень богат животными.
Возле водоемов в чаще тропического леса можно встретить животное, напоминающее немного лошадь, немного свинью и еще больше — носорога. Это - тапир
Тапиры - плотно сложенные звери с коренастым телом, покрытым коротким, густым, обычно бурым или черным волосом. 
Высота крупного тапира около 1,2 м, длина 1,8 м, а масса до 275 кг. 
Верхняя губа, вытянута в небольшой хоботок, используемый для обрывания листьев и молодых побегов. 
Глаза мелкие, округлые уши торчат в стороны. 
Ноги короткие, передние - четырехпалые, задние – трехпалые. Каждый палец оканчивается маленьким копытцем. 
Хвост очень короткий, как бы обрубленный. 
Кормятся тапиры водными растениями и листьями лесных кустарников. Они хорошо плавают, ныряют, могут удивительно долго оставаться под водой. 
Животные преимущественно ночные; дневную жару пережидают, лежа в чаще. Тяготеют к одиночному образу жизни и редко встречаются группами, в которых более трех особей. В природе врагов у них мало - ягуар и пума в Америке, тигр и леопард в Азии. 
Живут тапиры приблизительно 30 лет.
Численность тапиров по всему миру сильно сократилась из-за охоты на них и расчистки лесов под сельскохозяйственные угодья. 
Все виды тапиров внесены в международную Красную книгу
4,4(45 оценок)
Ответ:
даша3644
даша3644
09.12.2021
9 октября 1963 года произошла авария на плотине Вайонт в Италии. В водохранилище объемом 0,169 куб. км обрушился горный массив объемом 0,24 куб. км, что привело к переливу более 50 млн куб. м воды через плотину. Водяной вал высотой 90 м за 15 минут смыл несколько населенных пунктов, что привело к гибели более
Подробнее: http://www.kommersant.ru/doc/1222760 2 тыс. человек. Причиной оползня стало поднятие горизонта грунтовых вод, вызванное строительством плотины.

7 августа 1994 года в Белорецком районе Башкирии произошел прорыв плотины Тирлянского водохранилища и нештатный сброс 8,6 млн куб. м воды. В зоне затопления оказалось четыре населенных пункта, 85 жилых домов были полностью разрушены, 200 домов — частично. В результате наводнения погибло 29 человек, 786 человек осталось без крова. 18 августа 2002 года в районе немецкого города Виттенберга не реке Эльбе из-за сильного наводнения произошло разрушение семи защитных дамб. Волна хлынула на город, пришлось эвакуировать 40 тыс. человек. 19 жителей погибло, 26 пропало без вести. В ночь на 11 февраля 2005 года в провинции Белуджистан на юго-западе Пакистана из-за мощных ливней произошел прорыв 150-метровой плотины ГЭС у города Пасни. В результате было затоплено несколько деревень, более 135 человек погибли. 5 октября 2007 года на реке Чу во вьетнамской провинции Тханьхоа после резкого подъема уровня воды прорвало плотину строящейся ГЭС "Кыадат". В зоне затопления оказалось около 5 тыс. домов, 35 человек погибли.
4,4(21 оценок)
Это интересно:
Новые ответы от MOGZ: Математика
logo
Вход Регистрация
Что ты хочешь узнать?
Спроси Mozg
Открыть лучший ответ