М
Молодежь
К
Компьютеры-и-электроника
Д
Дом-и-сад
С
Стиль-и-уход-за-собой
П
Праздники-и-традиции
Т
Транспорт
П
Путешествия
С
Семейная-жизнь
Ф
Философия-и-религия
Б
Без категории
М
Мир-работы
Х
Хобби-и-рукоделие
И
Искусство-и-развлечения
В
Взаимоотношения
З
Здоровье
К
Кулинария-и-гостеприимство
Ф
Финансы-и-бизнес
П
Питомцы-и-животные
О
Образование
О
Образование-и-коммуникации
DeadFox2013
DeadFox2013
21.07.2021 23:59 •  Математика

Из пунктов а и б, расстояние между которыми 19 км, вышли одновременно на встречу друг другу 2 пешехода и встретились в 9 км от а. найдите скорость пешехода, шедшего из а, если известно, что он шёл со скоростью большей на 1км/ч, чем пешеход, шедший из б, и сделал по пути получасовую остановку.

👇
Ответ:
имилька
имилька
21.07.2021
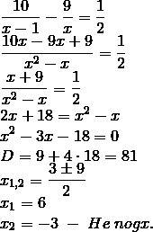
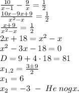
Пусть скорость первого x км/ч, тогда скорость второго x-1 км/ч. первый км, второй 19-9 = 10 км. Первый затратил 9/x ч, второй 10/(x-1) ч, что на 0,5 ч больше.
\frac{10}{x-1}-\frac9x=\frac12\\\frac{10x-9x+9}{x^2-x}=\frac12\\\frac{x+9}{x^2-x}=\frac12\\2x+18=x^2-x\\x^2-3x-18=0\\D=9+4\cdot18=81\\x_{1,2}=\frac{3\pm9}2\\x_1=6\\x_2=-3\;-\;He\;nogx.

Из пунктов а и б, расстояние между которыми 19 км, вышли одновременно на встречу друг другу 2 пешехо
4,5(58 оценок)
Открыть все ответы
Ответ:
alisgranger
alisgranger
21.07.2021
Вот я перевела как смогла
Min uzemden Insha bot yl eseylerenetapshyram. Tyugan Balan Behrens huze Asay. Kupme tsylyhyn, terbiehen bire bezge Asay. Discouragement Katyn kyz yauyryndaryna auyr el halyngan: el, schy eshtere, e Ying Bashy Gayle Corot, usterey baloia. Bere ertzetan eseyzen telege Mar balalaryn ayakka bastyryu. Asay gymere buyyna bezze terbieley. Bezzen eseyebezzen kullaryna totonop Behrens Behrens tapkyr KLASKO barabyz. Eseyhez Usken ballarzyn John zur ttelege bar ertzak zaman ularzyn eselere kilep kereyen. Asay shatlygy-pilota shatlygy. Hezerge zaman Katyn kyzzar (enpresa ledizar) balalar ikense keshege karakga tapshyryp kiteler. Street ballarzyn kybehe berekoia bulyp useler. ESE yylyn, terbienen kurmeyse. Shula min uzemden inshamdyn agazyna la kilep ettem. Esele balalarygyzzy tashlamagyz, yugaltmagyz, kaldyrmagyz. Ilde John kubehe uramda yorogen balalar, slush balalarygyzzy yaratygyz, yorek tsylyhyn, terbiehen birep ysteregez
4,4(8 оценок)
Ответ:
Лейла786
Лейла786
21.07.2021
Знаменитый спортсмен Джекки Джойнер-Керси, победитель многочисленных олимпийских соревнований, в том числе по бегу с барьерами и без, прыжкам в высоту и длину, болел астмой.
В массиве записей хранится следующая информация о спортсменах: фамилия, вид спорта, лучший результат этого спортсмена. Видом спорта могут быть: прыжки в длину, прыжки в высоту, тяжелая атлетика. Определить лучшего спортсмена в заданном виде спорта. Использовать подпрограммы для ввода массива и для определения лучшего спортсмена
4,4(69 оценок)
Новые ответы от MOGZ: Математика
logo
Вход Регистрация
Что ты хочешь узнать?
Спроси Mozg
Открыть лучший ответ