М
Молодежь
К
Компьютеры-и-электроника
Д
Дом-и-сад
С
Стиль-и-уход-за-собой
П
Праздники-и-традиции
Т
Транспорт
П
Путешествия
С
Семейная-жизнь
Ф
Философия-и-религия
Б
Без категории
М
Мир-работы
Х
Хобби-и-рукоделие
И
Искусство-и-развлечения
В
Взаимоотношения
З
Здоровье
К
Кулинария-и-гостеприимство
Ф
Финансы-и-бизнес
П
Питомцы-и-животные
О
Образование
О
Образование-и-коммуникации
shulbert
shulbert
21.07.2021 23:59 •  Математика

Решить уравнение 4sinx²- 8sinx·cosx+10cos²x= 3

👇
Ответ:
shdbrjhb
shdbrjhb
21.07.2021
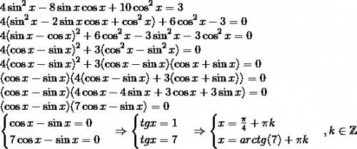
4\sin^2x-8\sin x\cos x+10\cos^2x=3\\4(\sin^2x-2\sin x\cos x+\cos^2x)+6\cos^2x-3=0\\4(\sin x-\cos x)^2+6\cos^2x-3\sin^2x-3\cos^2x=0\\4(\cos x-\sin x)^2+3(\cos^2x-\sin^2x)=0\\4(\cos x-\sin x)^2+3(\cos x-\sin x)(\cos x+\sin x)=0\\(\cos x-\sin x)(4(\cos x-\sin x)+3(\cos x+\sin x))=0\\(\cos x-\sin x)(4\cos x-4\sin x+3\cos x+3\sin x)=0\\(\cos x-\sin x)(7\cos x-\sin x)=0
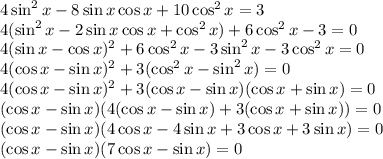
\begin{cases}\cos x-\sin x=0\\7\cos x-\sin x=0\end{cases}\Rightarrow\begin{cases}tg x=1\\tgx=7\end{cases}\Rightarrow\begin{cases}x=\frac\pi4+\pi k\\x=arctg(7)+\pi k\end{cases},k\in\mathbb{Z}

Решить уравнение 4sinx²- 8sinx·cosx+10cos²x= 3
4,5(9 оценок)
Открыть все ответы
Ответ:
Karina0714
Karina0714
21.07.2021
Дано: 
39 лепешек с мясом
12 лепешек с сыром
Надо:
Разделить поровну на 3 блюда

1) 39 : 3 = 13 (лепешек) - с мясом нужно положить на одно блюдо.
2) 12 : 3 = 4 (лепешки) - с сыром нужно положить на одно блюдо.
3) 13 + 4 = 17(лепешек) - нужно положить на каждое блюдо.
ответ: 17 лепешек.

Второй вариант решения:
1) 39 + 12 = 51 (лепешки) - всего.
2) 51 : 3 = 17 (лепешек) - надо положить на одно блюдо.
ответ: 17 лепешек.

Ну или если надо чтоб было написано сколько с сыром, сколько с мясом, то первый вариант решения без третьего действия и в ответ "13 лепешек с мясом, 4 лепешки с сыром"
4,7(54 оценок)
Ответ:
Люба011
Люба011
21.07.2021
Дано: 
39 лепешек с мясом
12 лепешек с сыром
Надо:
Разделить поровну на 3 блюда

1) 39 : 3 = 13 (лепешек) - с мясом нужно положить на одно блюдо.
2) 12 : 3 = 4 (лепешки) - с сыром нужно положить на одно блюдо.
3) 13 + 4 = 17(лепешек) - нужно положить на каждое блюдо.
ответ: 17 лепешек.

Второй вариант решения:
1) 39 + 12 = 51 (лепешки) - всего.
2) 51 : 3 = 17 (лепешек) - надо положить на одно блюдо.
ответ: 17 лепешек.

Ну или если надо чтоб было написано сколько с сыром, сколько с мясом, то первый вариант решения без третьего действия и в ответ "13 лепешек с мясом, 4 лепешки с сыром"
4,8(40 оценок)
Новые ответы от MOGZ: Математика
logo
Вход Регистрация
Что ты хочешь узнать?
Спроси Mozg
Открыть лучший ответ