М
Молодежь
К
Компьютеры-и-электроника
Д
Дом-и-сад
С
Стиль-и-уход-за-собой
П
Праздники-и-традиции
Т
Транспорт
П
Путешествия
С
Семейная-жизнь
Ф
Философия-и-религия
Б
Без категории
М
Мир-работы
Х
Хобби-и-рукоделие
И
Искусство-и-развлечения
В
Взаимоотношения
З
Здоровье
К
Кулинария-и-гостеприимство
Ф
Финансы-и-бизнес
П
Питомцы-и-животные
О
Образование
О
Образование-и-коммуникации
zhovnovich
zhovnovich
11.10.2020 07:58 •  Математика

Решите уравнение 6 целых 5/6 : 4,1=6,5: x

👇
Ответ:
DashaSi15
DashaSi15
11.10.2020
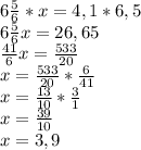
6 \frac{5}{6} *x=4,1*6,5 \\ 6 \frac{5}{6} x=26,65 \\ \frac{41}{6} x= \frac{533}{20} \\ x= \frac{533}{20} * \frac{6}{41} \\ x= \frac{13}{10} * \frac{3}{1} \\ x= \frac{39}{10} \\ x=3,9
4,4(12 оценок)
Открыть все ответы
Ответ:
alinasharifulli
alinasharifulli
11.10.2020
1шк - ?
2шк - ?
3шк - ?
Всего - 1945 уч.
в 1 и 2 шк - 1225 уч.
в 2 и 3 шк - 1300 уч.

1) Чтобы узнать сколько учеников в 1ой шк. нужно из всех уч. вычесть уч. из 2ой и 3ей школы:
1945-1300=645 (уч) - в 1ой шк.

2)Так как нам известно кол-во уч. 1ой школы и кол-во уч. 1ой+2ой, нужно из 1ой шк+2ой шк вычесть учеников 1ой шк:
1225-645=580 (уч) - во 2ой шк.

3) Нам известно кол-во учеников 1ой и 2ой школ, чтобы найти кол-во уч. 3ей шк нужно из всех учеников (1945) вычесть учеников 2ой шк+1ой шк:
1945-(580+645)=720 (уч) - в 3ей шк.
(Или так: 1945-1225=720 уч.)
ОТВЕТ: 645 уч. в 1ой шк; 580 уч. во 2ой шк; 720 уч. в 3ей шк.
(проверка: 720+580+645=1945)
4,8(57 оценок)
Ответ:
макс3104
макс3104
11.10.2020
Пусть первая школа x, вторая школа y, третья школа z. Тогда x+y+z=1945,
x+y=1225, y+z=1300.

Найдём количество учеников в третьей школе:
z=1945-1225=720 учеников.

Найдём количество учеников во второй школе:
у=1300-720=580 учеников.

Найдём количество учеников в первой школе:
x=1225-580=645 учеников.

ПРОВЕРКА:
645+580+720=1945 учеников всего.
645+580=1225 учеников в первой и второй школах.
580+720=130 учеников во второй и третьей школах.
ответ: в первой школе 645 учеников, во второй школе 580 учеников, в третьей школе 720 учеников.
4,7(44 оценок)
Это интересно:
Новые ответы от MOGZ: Математика
logo
Вход Регистрация
Что ты хочешь узнать?
Спроси Mozg
Открыть лучший ответ