М
Молодежь
К
Компьютеры-и-электроника
Д
Дом-и-сад
С
Стиль-и-уход-за-собой
П
Праздники-и-традиции
Т
Транспорт
П
Путешествия
С
Семейная-жизнь
Ф
Философия-и-религия
Б
Без категории
М
Мир-работы
Х
Хобби-и-рукоделие
И
Искусство-и-развлечения
В
Взаимоотношения
З
Здоровье
К
Кулинария-и-гостеприимство
Ф
Финансы-и-бизнес
П
Питомцы-и-животные
О
Образование
О
Образование-и-коммуникации
RGROP17
RGROP17
14.08.2020 16:01 •  Математика

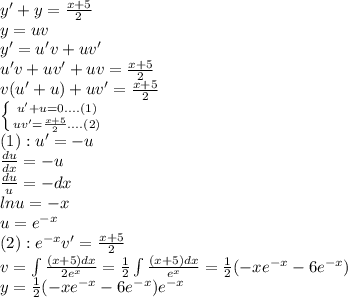
Решите линейное дифференциальное уравнение первого порядка методом бернулли у'+у = (х+5)/2

👇
Ответ:
Nashinvo
Nashinvo
14.08.2020
y'+y= \frac{x+5}{2} \\ y=uv \\ y'=u'v+uv' \\ u'v+uv'+uv=\frac{x+5}{2} \\ v(u'+u)+uv'=\frac{x+5}{2} \\ \left \{ {{u'+u=0....(1)} \atop {uv'=\frac{x+5}{2}....(2)}} \right. \\ (1): u'=-u \\ \frac{du}{dx} = -u \\ \frac{du}{u} = -dx \\ lnu=-x \\ u=e^{-x} \\ (2):e^{-x} v'=\frac{x+5}{2} \\ v=\int\frac{(x+5)dx}{2e^{x}} = \frac{1}{2} \int\frac{(x+5)dx}{e^{x}} = \frac{1}{2} (-xe^{-x}-6e^{-x} ) \\ y=\frac{1}{2} (-xe^{-x}-6e^{-x} )e^{-x}
4,8(18 оценок)
Открыть все ответы
Ответ:
лнпасми
лнпасми
14.08.2020

1)54_2       (54 : 2 = 27)        

27_3       (27 : 3 = 9)

9 _ 3       (9 : 3 = 3)

3 _3       (3 : 3 = 1)

1    

54 = 2 · 3 · 3 · 3 = 2 · 33

2)69_3       (69 : 3 = 23)

23_23       (23 : 23 = 1)

1    

69 = 3 · 23

3)70_2       (70 : 2 = 35)

35_5       (35 : 5 = 7)

7_7       (7 : 7 = 1)

1    

70 = 2 · 5 · 7

4)39_3       (39 : 3 = 13)

13_ 13       (13 : 13 = 1)

1    

39 = 3 · 13

5)38_2       (38 : 2 = 19)

19_19       (19 : 19 = 1)

1    

38 = 2 · 19

6)24_2       (24 : 2 = 12)

12_2       (12 : 2 = 6)

6_2       (6 : 2 = 3)

3_3       (3 : 3 = 1)

1    

24 = 2 · 2 · 2 · 3 = 23 · 3

7)48_2       (48 : 2 = 24)

24_2       (24 : 2 = 12)

12_2       (12 : 2 = 6)

6_2       (6 : 2 = 3)

3_3       (3 : 3 = 1)

1    

48 = 2 · 2 · 2 · 2 · 3 = 24 · 3

Удачи)

4,5(41 оценок)
Ответ:
алексей041
алексей041
14.08.2020

живу в экологически чистом ( или грязном) районе города. в нашей реке водятся такие виды рыб как форель пескарь налим ( или вообще никто не водится) . хорошо растут такие дереввья как кедр ( или наооборот сохнут при выбросе химического предприятия) . летом наблюдаю много пчел и других насекомых ( может наооборот никого нет). зимой прилетают снигири клевать рябину. вследствии большого числа машин и других вредных выбросов в атмосферу наблюдается рост различных заболеваний ( или наооборот машин нет воздух чистый) . таких явлений как ураган извержение вулкана и других стихийных бедствий не наблюдается ( или наоборот) . у нас исчезли такие виды жывотных как ( или появились-например крысы) . вообщем район у нас с благопиятной экологической обстановкой ( или наоборот). ну последнее почва загрязнена ( или нет) вобросами отходов, канализационных стоков и мусора.

4,5(5 оценок)
Новые ответы от MOGZ: Математика
logo
Вход Регистрация
Что ты хочешь узнать?
Спроси Mozg
Открыть лучший ответ