М
Молодежь
К
Компьютеры-и-электроника
Д
Дом-и-сад
С
Стиль-и-уход-за-собой
П
Праздники-и-традиции
Т
Транспорт
П
Путешествия
С
Семейная-жизнь
Ф
Философия-и-религия
Б
Без категории
М
Мир-работы
Х
Хобби-и-рукоделие
И
Искусство-и-развлечения
В
Взаимоотношения
З
Здоровье
К
Кулинария-и-гостеприимство
Ф
Финансы-и-бизнес
П
Питомцы-и-животные
О
Образование
О
Образование-и-коммуникации
kamakoshkina
kamakoshkina
30.06.2020 12:18 •  Математика

Назовите схему решения системы линейных уравнений по методу гаусса.

👇
Ответ:
loon1488
loon1488
30.06.2020
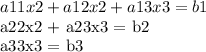
Метод Гаусса, называемый также методом последовательного исключения неизвестных, состоит в том, что при элементарных преобразований систему линейных уравнений приводят к такому виду, чтобы её матрица из коэффициентов оказалась трапециевидной или близкой к трапециевидной.

a11x2 + a12x2 + a13x3 = b1

a22x2 + a23x3 = b2

a33x3 = b3
4,4(94 оценок)
Открыть все ответы
Ответ:
valikrulit1234
valikrulit1234
30.06.2020
Пусть х м в минуту - скорость Винни-Пуха.
х:100·20=0,2х м в минуту составляют 20% от х
х-0,2х=0,8х м в минуту - скорость Пятачка
Пусть S - расстояние от домика Винни-Пуха до домика Совы.
S/x минут - время, за которое Винни-Пух доберется до домика Совы.
(S/x):100·20=0,2·(S/x) минут составляют 20% от времени Винни-Пуха.
(S/x)-0,2·(S/x)=0,8·(S/x) минут время Пятачка, которое на 20% меньше времени Винни-Пуха.
С другой стороны, время Пятачка можно найти разделив расстояние от его домика до домика Совы на скорость Пятачка.
(S-360)/(0,8x).
Уравнение
0,8·(S/x) =(S-360)/(0,8x).
Умножим на 0,8х.
0,64S=S-360
0,36S=360
S=1000 метров

О т в е т.
Домик Винни-Пуха находится на расстоянии 1000метров от домика Совы. Домик Пятачка находится на расстоянии 1000-360=640 метров от домика Совы.
4,7(92 оценок)
Ответ:
neketapro
neketapro
30.06.2020
Три купці мають 21 бочку квасу. З яких 7 повних; 7 наполовину повних і 7 порожніх. Як йім зробити щоб кожен отримав одинаково кількість квасу і бочок? дано: купці=3; бочки повні=7; бочки наполовину=7; бочки пусті=7; разом=7+7+7=21бочка; 21:3=7б на 1купця. Квасу всього 7повних і 1/2•7= 7/2= 3 1/2бочки; 7+3 1/2= 10 1/2=10,5 бочки квасу, це 7•2=14бочок; по 10,5:3=3,5квасу кожному; рахуємо 3,5= 3повні+1 що половинка= 4бочки першому; 3,5= 3повні+ 1бочка половинка= 4 другому; 3,5= 1повна+ 5половинок бочок= 6бочок третьому; квас поділили; ще пусті бочки; 1купець=4бочки; 2купець= 4бочки; 3купець= 6бочок; 7-4=3бочки пусті 1 і другому даємо; 7-6=1бочка пуста третьому; в усіх порівну квас і бочки так отримали купці; 1повна+1повна+1повна+ 1 наполовину + 1порожня+ 1порожня +1порожня= 7бочок і в них 3,5квасу перший купець і другий так; а третій 1повна+ 1наполовину+ 1наполовину+ 1наполовиеу+ 1наполовиеу+ 1наполовину+ 1порожня=7 бочок і 3,5 квасу в них.
4,7(78 оценок)
Это интересно:
Новые ответы от MOGZ: Математика
logo
Вход Регистрация
Что ты хочешь узнать?
Спроси Mozg
Открыть лучший ответ