Вход
Регистрация
Спроси Mozg AI
М
Молодежь
К
Компьютеры-и-электроника
Д
Дом-и-сад
С
Стиль-и-уход-за-собой
П
Праздники-и-традиции
Т
Транспорт
П
Путешествия
С
Семейная-жизнь
Ф
Философия-и-религия
Б
Без категории
М
Мир-работы
Х
Хобби-и-рукоделие
И
Искусство-и-развлечения
В
Взаимоотношения
З
Здоровье
К
Кулинария-и-гостеприимство
Ф
Финансы-и-бизнес
П
Питомцы-и-животные
О
Образование
О
Образование-и-коммуникации
.....больше.....
..меньше..
228DOSHIK1337
15.11.2020 10:34 •
Математика
2s^4-7s^3+9s^2-7s+2 = 0 решить симметричное уравнение. заранее
👇
Увидеть ответ
Ответ:
kurotetsu666
15.11.2020
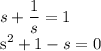
s≠0. разделим на s²
сделаем замену s+1/s=x
теперь обратная замена
корней нет, т.к. D<0
ответ s=0.5; s=2
4,6
(23 оценок)
Открыть все ответы
Ответ:
Cociheyuajnqhvedoxbs
15.11.2020
32480 67 2094456168 374 -414 392 -224 224 0 268 484 568 536 320 268 52ост
4,6
(59 оценок)
Ответ:
ура6
15.11.2020
32480 67 2094456168 374 -414 392 -224 224 0 268 484 568 536 320 268 52ост
4,5
(95 оценок)
Это интересно:
П
Питомцы-и-животные
25.09.2021
Как безопасно подрезать крылья небольшой птице: Советы экспертов...
Д
Дом-и-сад
17.04.2021
Волшебное искусство выращивания астр: секреты заботы, чтоб цветы радовали глаз долго...
К
Компьютеры-и-электроника
15.07.2020
Как правильно очистить экран iPhone и iPod Touch...
С
Стиль-и-уход-за-собой
21.02.2023
Как заплести косу в стиле «Хвост русалки»...
13.03.2023
Как быстро избавиться от плохого настроения: простые и эффективные советы...
16.06.2022
Как стать лучшей подругой в средней школе: советы для девочек 5—8 классов...
О
Образование-и-коммуникации
22.12.2020
Как найти равнодействующую силу: простое объяснение и практические примеры...
Д
Дом-и-сад
26.04.2022
Как вскрыть замок: советы от профессионалов...
И
Искусство-и-развлечения
06.04.2020
Как написать свою собственную песню: шаг за шагом...
П
Питомцы-и-животные
23.06.2022
Как понять, что лошади пора подпилить зубы...
Новые ответы от MOGZ: Математика
angelokfrimen
30.01.2022
Скдасти . борошно 9л,молока _? у2 р. б. борошню.меду_? у9 р.м. нiж молока...
3648
30.01.2022
Пример (25*100)²+ (⅝: ⅔)⁴ заранее , мальчики и девочки, вы воспитанные...
Selid
30.01.2022
Вася петя и олег заготовили шиповник. вася собрал 30% всего.петя на 2 килограмма 700 граммов больше чем олег.сколько килограммов заготовили мальчики если олег собрал 8% всего от всего...
bikosh02
30.01.2022
Удвоенное значение числа 45 уменьши на 20 единиц...
AnastasiaBA
30.01.2022
Как с польского переводиться вопрос - jaki on jest? !...
gjkbyf6789
30.01.2022
0,005 м2 = см? сколько это сантиметров квадратных?...
VASILIEVAALEXANDRA
30.01.2022
Самир жил 1500 манатов в банк с годовым процентным ростом 15% от вложенной суммы сколько денег должен будет вернуть в банк самиру через 5 лет...
85Angel85
30.01.2022
Пкакую сумму превратится 4000 манатов через 2 года если их положить в банк с 10 процентным ростом от суммы каждого предыдущего года...
fukkacumi2017
30.01.2022
Ганнуся задумала число додала його до числа 789 одержану суму поділила на 8.у результаті в неї вийшло 4005.яке число задумала ганнуся?...
arslanbaiguskap0c2gw
19.12.2021
4класс страница 96 №189 в ларёк и в магазин отправили несколько одинаковых машин с овощами.магазин получил 24 т овощей,а ларёк? в 3 раза меньше. сколько всего машин отвозили овощи,...
MOGZ ответил
1. (3a-2)(2+3a) знайдіть добуток виразів 2. (x-1)(x²+x+1) подайте у вигляді многочлена...
1. Гоночная машина летит со скоростью 360 км / ч. А скорость вращения Земли вокруг...
16. Решите уравнение: а)1/x+5x/x+1=5; б)3x²-48/x+4=0; в)10/x-3-8/x=1....
Резюме пишуть від руки чи друкують?...
В треугольнике ABC отмечена точка N — середина медианы AM. Прямая BN пересекает...
решить на уровне 8 класса (без всяких тем которые в 8 классе не проходят) обязательно...
Любимый момент в рассказе первая любовь тургенев...
7 см в кубе в миллиметрах в кубе...
Зробити морфологічний аналіз слів ім.-щастя прикм.-щаслива займеник-воно...
на сторонах ab и bc треугольника abc выбраны точки k и m соответственно так, что...
Полный доступ к MOGZ
Живи умнее Безлимитный доступ к MOGZ
Оформи подписку
О НАС
О нас
Блог
Условия пользования
Авторское право
Политика конфиденциальности
Предпочтения cookie-файлов
ПОМОЩЬ
Зарегистрируйся
Центр помощи
Центр безопасности
App
Вход
Регистрация
Что ты хочешь узнать?
Спроси Mozg
Открыть лучший ответ
s≠0. разделим на s²
сделаем замену s+1/s=x
теперь обратная замена
корней нет, т.к. D<0
ответ s=0.5; s=2