М
Молодежь
К
Компьютеры-и-электроника
Д
Дом-и-сад
С
Стиль-и-уход-за-собой
П
Праздники-и-традиции
Т
Транспорт
П
Путешествия
С
Семейная-жизнь
Ф
Философия-и-религия
Б
Без категории
М
Мир-работы
Х
Хобби-и-рукоделие
И
Искусство-и-развлечения
В
Взаимоотношения
З
Здоровье
К
Кулинария-и-гостеприимство
Ф
Финансы-и-бизнес
П
Питомцы-и-животные
О
Образование
О
Образование-и-коммуникации
Kurakluk
Kurakluk
22.03.2021 03:31 •  Математика

Найдите разность между большим и меньшим корнями уравнения

👇
Ответ:
alinka12152002
alinka12152002
22.03.2021
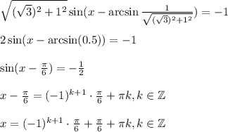
Воспользуемся формулой: a \sin x\pm b\cos x= \sqrt{a^2+b^2} \sin(x\pm\arcsin \frac{b}{ \sqrt{a^2+b^2} })

\sqrt{( \sqrt{3})^2+1^2 } \sin (x-\arcsin \frac{1}{ \sqrt{( \sqrt{3} )^2+1^2} } )=-1\\ \\ 2 \sin (x-\arcsin(0.5))=-1\\ \\ \sin (x- \frac{\pi}{6} )=- \frac{1}{2} \\ \\ x- \frac{\pi}{6} =(-1)^{k+1}\cdot \frac{\pi}{6} +\pi k,k \in \mathbb{Z}\\ \\ x=(-1)^{k+1}\cdot \frac{\pi}{6} +\frac{\pi}{6}+\pi k,k \in \mathbb{Z}

отбор корней:
k=1;\,\,\, x= \frac{\pi}{6} + \pi = \frac{7 \pi }{6} \\ \\ k=2;\,\, x=- \frac{ \pi }{6} +2 \pi = \frac{11 \pi }{6}

Вычислим разность между большим и меньшим корнями заданного уравнения:

\dfrac{11 \pi }{6} - \dfrac{7 \pi }{6} = \dfrac{4 \pi }{6} = \dfrac{2 \pi }{3}

ответ: \dfrac{2 \pi }{3}
4,4(13 оценок)
Открыть все ответы
Ответ:
Djjdcnudghu
Djjdcnudghu
22.03.2021
Составь выражения и найди их значения:
а) В два магазина привезли 60 одинаковых ящиков винограда, причем в первый магазин привезли 420 кг, а во второй - 300 кг. Сколько килограммов винограда в одном таком ящике?
(420+300):60=720:60=12 (кг) - винограда находится в одном ящике.
ответ: 12 кг винограда находится в одном ящике.
Подробно по действиям:
1) 420+300=720 (кг винограда) - привезли в два магазина.
2) 720:60=12 (кг) - винограда находится в одном ящике.

б) В первый магазин привезли 19 одинаковых ящиков винограда, а во второй - 24. В первый магазин привезли на 45 кг винограда меньше, чем во второй. Сколько килограммов винограда привезли во второй магазин?
45:(24-19)×24=45:5×24=9×24=216 (кг) - винограда привезли во второй магазин.
ответ: во второй магазин привезли 216 кг винограда.
Подробно по действиям:
1) 24-19=5 (ящ.) винограда привезли в первый магазин меньше, чем во второй.
2) 45:5=9 (кг) - винограда находится в одном ящике.
3) 24×9=216 (кг) - винограда привезли во второй магазин.
4,4(14 оценок)
Ответ:
Maximg01
Maximg01
22.03.2021
Составь выражения и найди их значения:
а) В два магазина привезли 60 одинаковых ящиков винограда, причем в первый магазин привезли 420 кг, а во второй - 300 кг. Сколько килограммов винограда в одном таком ящике?
(420+300):60=720:60=12 (кг) - винограда находится в одном ящике.
ответ: 12 кг винограда находится в одном ящике.
Подробно по действиям:
1) 420+300=720 (кг винограда) - привезли в два магазина.
2) 720:60=12 (кг) - винограда находится в одном ящике.

б) В первый магазин привезли 19 одинаковых ящиков винограда, а во второй - 24. В первый магазин привезли на 45 кг винограда меньше, чем во второй. Сколько килограммов винограда привезли во второй магазин?
45:(24-19)×24=45:5×24=9×24=216 (кг) - винограда привезли во второй магазин.
ответ: во второй магазин привезли 216 кг винограда.
Подробно по действиям:
1) 24-19=5 (ящ.) винограда привезли в первый магазин меньше, чем во второй.
2) 45:5=9 (кг) - винограда находится в одном ящике.
3) 24×9=216 (кг) - винограда привезли во второй магазин.
4,5(100 оценок)
Новые ответы от MOGZ: Математика
logo
Вход Регистрация
Что ты хочешь узнать?
Спроси Mozg
Открыть лучший ответ