Пошаговое объяснение:

1) Если x=2,8, y= - 3,9, то

2) Если x= - 4,5 , y= 7,2, то

3) Если x= - 2,3 , y=- 6,2 , то

4)

відповідь:
добре тримай :)
Покрокове пояснення:
1.
а) .0,2 * 11,3 * 50 = (50 * 0,2) * 11,3 = 113
б) .7,8 * 10,2 - 7,8 * 0,2 = 79,56 - 1,56 = 78
2.
а). 1). 32,4: 6 = 5,4 (ц.) - картоплі привезли в другій магазин.
2). 32,4 + 5,4 = 37,8 (ц.) - картоплі привезли в обидва магазину.
б). (19 + 20 + 22 + 18 + 19): 5 = 98: 5 = 19,6 ° С середньодобова температура повітря. (Вибач це може бути неправильним)
в). 1). 150: 0,23 = (приблизно) 652-сметани.
г). Петрик купив зошити в лінійку і клітинку. Зошитів в клітинку - 15 штук, що становить 0,3 усіх зошитів.
Скільки зошитів у лінійку купив Петрик?
Ось на це завдання не знаю рішення (хах це говорить дівчинка з 7 класу)
формула для вычисления объема цилиндра:
V=∏R²H, где R- радиус цилиндра, H - его высота.
По условию задачи уровень жидкости равен 16- это высота.
V=∏R²16
После того, как жидкость перелили в другой цилиндрический сосуд, ее объем не изменился. Диаметр второго сосуда в два раза больше диаметра первого. Т.к. D=2R, следовательно радиус второго сосуда также в два раза больше радиуса первого, и равен 2R.
Запишем, чему равен объем жидкости во втором сосуде:
V=∏(2R)²h= ∏4R²h, где h - высота жидкости во втором сосуде.
Приравняем объемы жидкости в первом и втором сосудах:
∏R²16= ∏4R²h
Сократим одинаковые величины в левой и правой частях равенства. Получим:
16=4h.
h=4
ответ: 4 см.
То есть, при одинаковом объеме высота обратно пропорциональна квадрату радиуса, и, следовательно, диаметра. Если мы диаметр увеличили в 2 раза, то высота уменьшится в 4 раза.
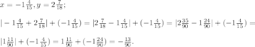
Пошаговое объяснение:
| x + y | + x
1) x = 2,8, y= -3,9
| 2,8 + (-3,9) | + 2,8 = | -1,1 | +2,8 = 1,1 + 2,8 = 3,9
2) x = -4,5, y= 7,2
| -4,5 + 7,2 | + (-4,5) = | 2,7 | - 4,5 = 2,7 - 4,5 = -1,8
3) x = -2,3, y = -6,2
| -2,3 + (-6,2) | + (-2,3) = | -8,5 | - 2,3 = 8,5 - 2,3 = 6,2
4) x = -1 4/15, y = 2 7/18
| -1 4/15 + 2 7/18 | + (-1 4/15) = | 1 11/90 | - 1 4/15 =
= 1 11/90 - 1 4/15 = (11 - 24)/90 = -13/90