М
Молодежь
К
Компьютеры-и-электроника
Д
Дом-и-сад
С
Стиль-и-уход-за-собой
П
Праздники-и-традиции
Т
Транспорт
П
Путешествия
С
Семейная-жизнь
Ф
Философия-и-религия
Б
Без категории
М
Мир-работы
Х
Хобби-и-рукоделие
И
Искусство-и-развлечения
В
Взаимоотношения
З
Здоровье
К
Кулинария-и-гостеприимство
Ф
Финансы-и-бизнес
П
Питомцы-и-животные
О
Образование
О
Образование-и-коммуникации
12artem2000
12artem2000
20.07.2020 06:12 •  Математика

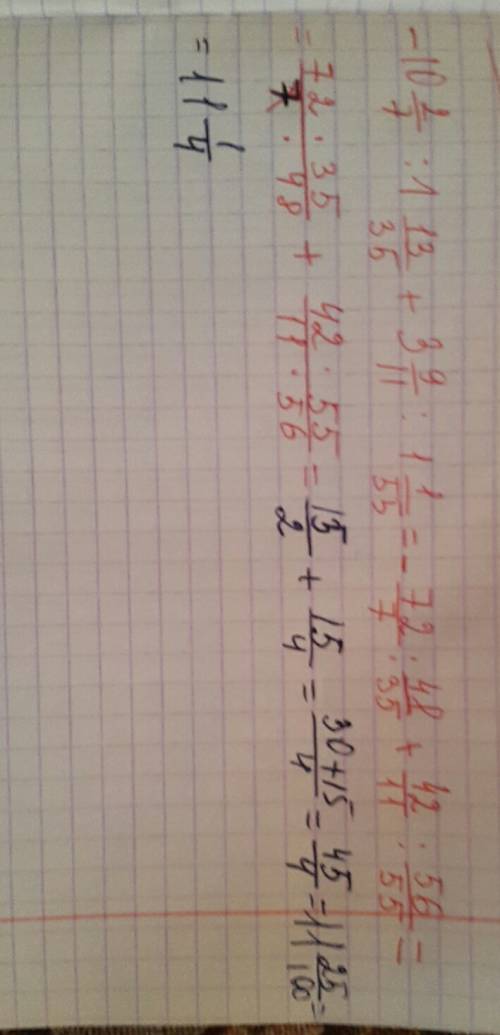
15 решите пример -10 2/7÷ 1 13/35+3 9/11÷1 1/55

👇
Ответ:
Rubin22
Rubin22
20.07.2020
Вот почерк вроде понятный
15 решите пример -10 2/7÷ 1 13/35+3 9/11÷1 1/55
4,8(74 оценок)
Открыть все ответы
Ответ:
odimaa1dimas
odimaa1dimas
20.07.2020
Если за 5 часов они только 5/8 частей то весь путь они должны пройти за 8 часов.                                                                                                                                         Составим пропорцию                                                                                                                8 часов-7/7 частей                                                                                                                     Х часов-6/7 частей                                                                                                                    Х=8*6*7/7=8*6/7=6 целых 6/7 часов
4,4(78 оценок)
Ответ:
РОЗОЧКА37563
РОЗОЧКА37563
20.07.2020
Если за 5 часов они только 5/8 частей то весь путь они должны пройти за 8 часов.                                                                                                                                         Составим пропорцию                                                                                                                8 часов-7/7 частей                                                                                                                     Х часов-6/7 частей                                                                                                                    Х=8*6*7/7=8*6/7=6 целых 6/7 часов
4,7(91 оценок)
Это интересно:
Новые ответы от MOGZ: Математика
logo
Вход Регистрация
Что ты хочешь узнать?
Спроси Mozg
Открыть лучший ответ